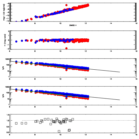
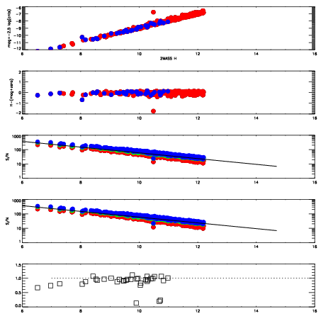
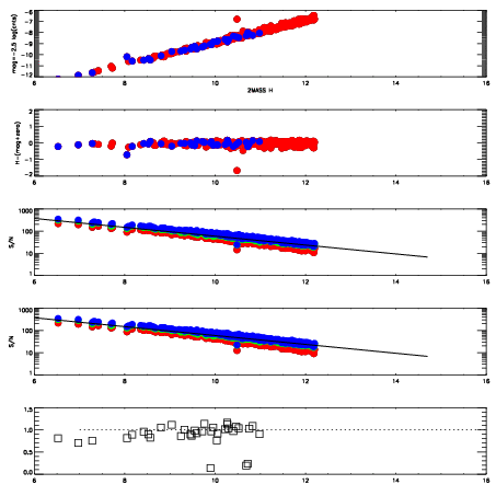
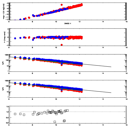
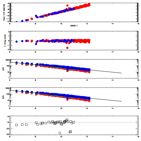
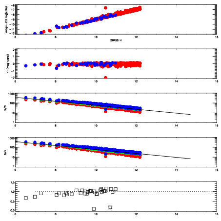
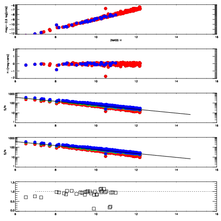
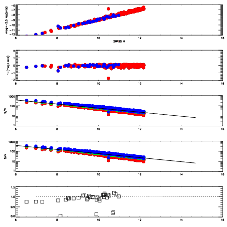
Frame | Nreads | Zeropoints | Mag plots
| Spatial mag deviation
| Spatial sky 16325A emission deviations (filled: sky, open: star)
| Spatial sky continuum emission
| Spatial sky telluric CO2 absorption deviations (filled: H < 10)
|
15000011
| 47
| | Red | Green | Blue
| z | | 18.98
| znorm | | 14.80
| sky | 14.6 | 14.4 | 14.5
| S/N | 16.2 | 25.4 | 27.6
| S/N(c) | 25.6 | 13.5 | 4.8
| SN(E/C) | 0.91
|
|
|
|
|
|
|
15000012
| 47
| | Red | Green | Blue
| z | | 19.04
| znorm | | 14.86
| sky | 14.8 | 14.6 | 14.5
| S/N | 16.5 | 26.0 | 28.2
| S/N(c) | 26.0 | 13.7 | 5.0
| SN(E/C) | 0.95
|
|
|
|
|
|
|
15000013
| 47
| | Red | Green | Blue
| z | | 19.00
| znorm | | 14.82
| sky | 14.6 | 14.7 | 14.6
| S/N | 15.5 | 25.3 | 27.4
| S/N(c) | 25.6 | 13.5 | 4.9
| SN(E/C) | 0.93
|
|
|
|
|
|
|
15000014
| 47
| | Red | Green | Blue
| z | | 18.98
| znorm | | 14.80
| sky | 14.5 | 14.6 | 14.5
| S/N | 15.2 | 25.2 | 27.2
| S/N(c) | 25.0 | 13.4 | 4.8
| SN(E/C) | 0.94
|
|
|
|
|
|
|
15000015
| 47
| | Red | Green | Blue
| z | | 18.98
| znorm | | 14.80
| sky | 14.6 | 14.6 | 14.4
| S/N | 14.9 | 24.8 | 26.9
| S/N(c) | 24.9 | 13.4 | 4.8
| SN(E/C) | 0.95
|
|
|
|
|
|
|
15000016
| 47
| | Red | Green | Blue
| z | | 18.95
| znorm | | 14.77
| sky | 14.7 | 14.4 | 14.4
| S/N | 14.8 | 24.5 | 26.4
| S/N(c) | 24.7 | 13.3 | 4.7
| SN(E/C) | 0.96
|
|
|
|
|
|
|
15000017
| 47
| | Red | Green | Blue
| z | | 18.98
| znorm | | 14.80
| sky | 14.6 | 14.5 | 14.4
| S/N | 15.4 | 25.6 | 26.9
| S/N(c) | 25.2 | 13.4 | 4.8
| SN(E/C) | 0.95
|
|
|
|
|
|
|
15000018
| 47
| | Red | Green | Blue
| z | | 18.83
| znorm | | 14.65
| sky | 14.9 | 14.4 | 14.4
| S/N | 14.0 | 23.5 | 24.4
| S/N(c) | 22.3 | 12.2 | 4.4
| SN(E/C) | 0.95
|
|
|
|
|
|
|