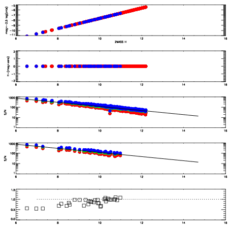
Left plots: red are targets, blue are telluric. Observed mags are calculated from median value of green chip. Zeropoint gives overall throughput: bigger number is more throughput.
First spatial plots: circles are objects, squares are tellurics, crosses are sky fibers. Colors give deviation of observed mag from expected 2MASS mag using the median zeropoint; red is brighter
Second spatial plots: circles are sky fibers. Colors give sky line brightness relative to plate median sky line brightness
FrameNreadsZeropointsMag plots Spatial mag deviation Spatial sky 16325A emission deviations (filled: sky, open: star) Spatial sky continuum emission Spatial sky telluric CO2 absorption deviations (filled: H < 10)
0 0
RedGreenBlue
z17.64
znorm Inf
sky -Inf -Inf -Inf
S/N 26.4 46.1 49.5
S/N(c) 0.0 0.0 0.0
SN(E/C) 0.90

IPAIRNAMESHIFTNEWSHIFTS/N NAMESHIFTNEWSHIFTS/N
0 15000017 0.498566 0.00000 18.9767 15000015 0.00179476 0.496771 18.9623
1 15000012 0.496379 0.00218701 19.0279 15000014 0.00122384 0.497342 18.9646
2 15000013 0.497154 0.00141200 18.9824 15000011 0.00000 0.498566 18.9641
3 15000016 0.497678 0.000887990 18.9371 15000018 0.00298253 0.495583 18.8183