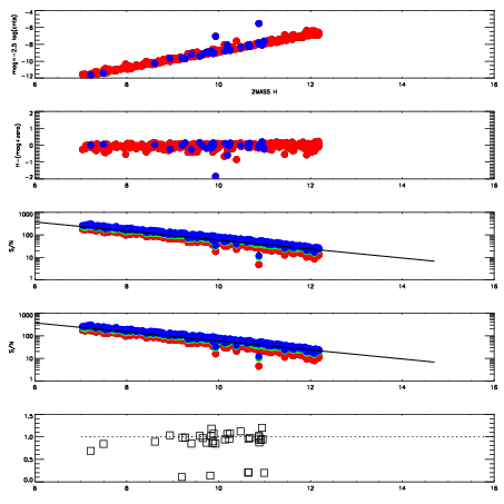
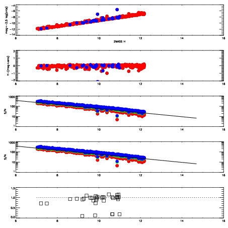
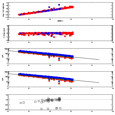
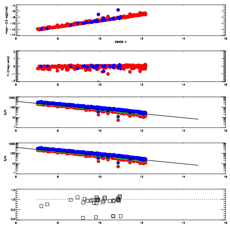
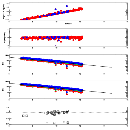
Frame | Nreads | Zeropoints | Mag plots
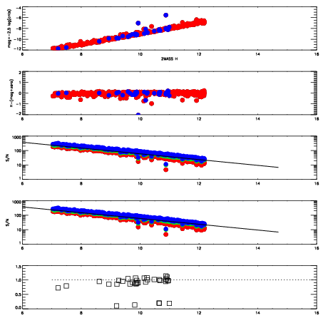
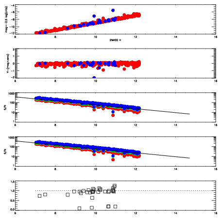
| Spatial mag deviation
| Spatial sky 16325A emission deviations (filled: sky, open: star)
| Spatial sky continuum emission
| Spatial sky telluric CO2 absorption deviations (filled: H < 10)
|
17350074
| 47
| | Red | Green | Blue
| z | | 18.85
| znorm | | 14.67
| sky | 14.3 | 14.2 | 14.4
| S/N | 13.0 | 21.4 | 24.6
| S/N(c) | 25.7 | 34.7 | 18.8
| SN(E/C) | 0.94
|
|
|
|
|
|
|
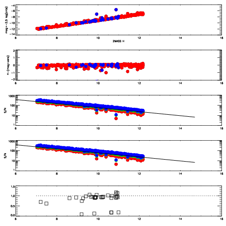
17350075
| 47
| | Red | Green | Blue
| z | | 19.01
| znorm | | 14.83
| sky | 14.4 | 14.3 | 14.3
| S/N | 14.2 | 23.2 | 26.5
| S/N(c) | 27.2 | 37.0 | 20.4
| SN(E/C) | 0.93
|
|
|
|
|
|
|
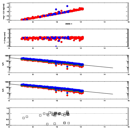
17350076
| 47
| | Red | Green | Blue
| z | | 18.99
| znorm | | 14.81
| sky | 14.1 | 14.2 | 14.4
| S/N | 14.0 | 23.1 | 26.3
| S/N(c) | 27.4 | 37.1 | 20.3
| SN(E/C) | 0.94
|
|
|
|
|
|
|
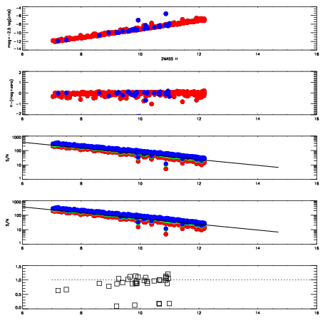
17350077
| 47
| | Red | Green | Blue
| z | | 19.06
| znorm | | 14.88
| sky | 14.2 | 14.3 | 14.5
| S/N | 14.6 | 24.1 | 27.0
| S/N(c) | 27.8 | 38.3 | 20.9
| SN(E/C) | 0.97
|
|
|
|
|
|
|
17350078
| 47
| | Red | Green | Blue
| z | | 19.00
| znorm | | 14.82
| sky | 14.4 | 14.4 | 14.5
| S/N | 13.9 | 23.4 | 25.8
| S/N(c) | 27.4 | 37.3 | 20.3
| SN(E/C) | 0.96
|
|
|
|
|
|
|
17350079
| 47
| | Red | Green | Blue
| z | | 19.12
| znorm | | 14.94
| sky | 14.4 | 14.3 | 14.4
| S/N | 15.1 | 25.0 | 28.0
| S/N(c) | 29.0 | 39.4 | 21.4
| SN(E/C) | 0.98
|
|
|
|
|
|
|
17350080
| 47
| | Red | Green | Blue
| z | | 19.22
| znorm | | 15.04
| sky | 14.5 | 14.3 | 14.4
| S/N | 16.3 | 26.0 | 29.5
| S/N(c) | 30.4 | 41.0 | 22.3
| SN(E/C) | 0.93
|
|
|
|
|
|
|
17350081
| 47
| | Red | Green | Blue
| z | | 19.18
| znorm | | 15.00
| sky | 14.4 | 14.3 | 14.4
| S/N | 15.7 | 25.7 | 28.7
| S/N(c) | 29.9 | 40.6 | 21.9
| SN(E/C) | 0.95
|
|
|
|
|
|
|
17350082
| 47
| | Red | Green | Blue
| z | | 19.19
| znorm | | 15.01
| sky | 14.4 | 14.3 | 14.4
| S/N | 15.9 | 26.1 | 28.9
| S/N(c) | 30.1 | 40.8 | 22.0
| SN(E/C) | 0.93
|
|
|
|
|
|
|
17350083
| 47
| | Red | Green | Blue
| z | | 19.17
| znorm | | 14.99
| sky | 14.5 | 14.3 | 14.3
| S/N | 15.6 | 25.7 | 28.5
| S/N(c) | 29.8 | 40.2 | 21.6
| SN(E/C) | 0.94
|
|
|
|
|
|
|