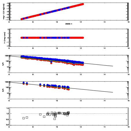
Left plots: red are targets, blue are telluric. Observed mags are calculated from median value of green chip. Zeropoint gives overall throughput: bigger number is more throughput.
First spatial plots: circles are objects, squares are tellurics, crosses are sky fibers. Colors give deviation of observed mag from expected 2MASS mag using the median zeropoint; red is brighter
Second spatial plots: circles are sky fibers. Colors give sky line brightness relative to plate median sky line brightness
FrameNreadsZeropointsMag plots Spatial mag deviation Spatial sky 16325A emission deviations (filled: sky, open: star) Spatial sky continuum emission Spatial sky telluric CO2 absorption deviations (filled: H < 10)
0 0
RedGreenBlue
z17.64
znorm Inf
sky -Inf -Inf -Inf
S/N 26.1 45.3 52.2
S/N(c) 0.0 0.0 0.0
SN(E/C) 0.97

IPAIRNAMESHIFTNEWSHIFTS/N NAMESHIFTNEWSHIFTS/N
0 17960039 0.504643 0.00000 19.0159 17960036 0.00562095 0.499022 18.9525
1 17960038 0.503479 0.00116402 19.0389 17960040 0.00536027 0.499283 19.0309
2 17960034 0.502995 0.00164801 19.0288 17960033 0.00000 0.504643 19.0039
3 17960035 0.502042 0.00260103 19.0262 17960037 0.00604774 0.498595 18.9876