PLATE:8049 MJD: 57360 FIELD: 191+12

FrameCartsec zseeingNreadsDitherPixshiftZerosky continuumS/NS/N(cframe)
17980011 3 1.05 1.40 47 0.00 -0.00 19.11 [14.22,14.12,14.03] [ 16.1, 25.0, 29.8] [ 35.6, 27.2, 16.2]
17980012 3 1.04 1.46 47 0.51 -0.00 19.08 [14.32,14.30,14.16] [ 15.0, 24.1, 28.2] [ 34.7, 26.7, 15.8]
17980013 3 1.03 1.23 47 0.51 -0.00 19.12 [14.36,14.33,14.18] [ 15.3, 24.1, 29.0] [ 35.2, 27.3, 16.2]
17980014 3 1.03 1.27 47 0.00 0.00 19.06 [14.29,14.39,14.26] [ 14.3, 23.7, 27.6] [ 33.7, 26.4, 15.7]
17980015 3 1.02 1.19 47 0.00 -0.00 19.02 [14.42,14.38,14.34] [ 14.2, 22.9, 27.4] [ 33.0, 25.7, 15.4]
17980016 3 1.02 1.40 47 0.51 -0.00 18.98 [14.30,14.36,14.28] [ 14.1, 22.1, 26.8] [ 32.4, 25.5, 15.0]
17980017 3 1.01 1.36 47 0.51 0.00 19.05 [14.29,14.36,14.36] [ 14.2, 22.7, 27.5] [ 33.3, 25.8, 15.4]
17980018 3 1.01 1.54 47 0.00 0.00 19.13 [14.47,14.32,14.20] [ 14.9, 24.1, 28.8] [ 35.1, 27.1, 16.1]
17980019 3 1.01 1.16 47 0.00 0.00 19.17 [14.34,14.45,14.25] [ 15.5, 24.6, 29.6] [ 35.3, 27.6, 16.3]
17980020 3 1.01 1.22 47 0.51 0.00 19.15 [14.62,14.47,14.31] [ 15.5, 24.4, 29.3] [ 35.7, 27.2, 16.1]
17980021 3 1.01 1.19 47 0.51 -0.00 19.10 [14.40,14.39,14.35] [ 15.2, 24.3, 28.9] [ 35.2, 26.9, 15.8]
17980022 3 1.01 1.30 47 0.01 -0.00 19.13 [14.36,14.42,14.43] [ 15.4, 24.5, 29.2] [ 35.8, 27.6, 16.1]

IPAIRNAMESHIFTNEWSHIFTS/N NAMESHIFTNEWSHIFTS/N
0 17980017 0.512 0.000 19.04 17980014 0.003 0.510 19.05
1 17980020 0.507 0.005 19.14 17980019 0.003 0.509 19.17
2 17980013 0.509 0.004 19.11 17980018 0.004 0.508 19.13
3 17980021 0.508 0.005 19.10 17980022 0.005 0.507 19.13
4 17980012 0.508 0.004 19.07 17980011 0.000 0.512 19.10
5 17980016 0.511 0.001 18.98 17980015 0.003 0.510 19.01

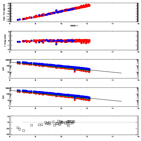
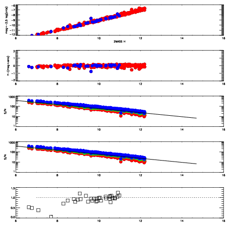
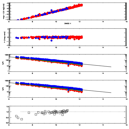
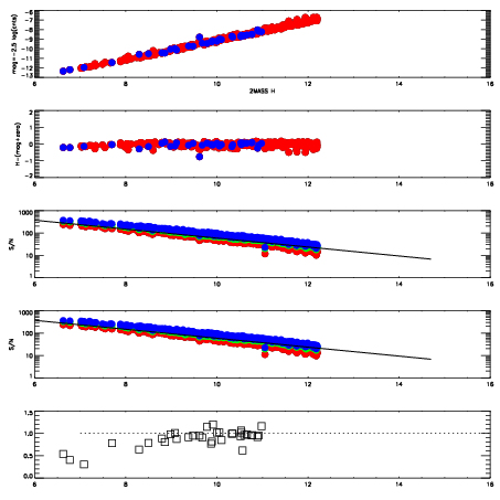
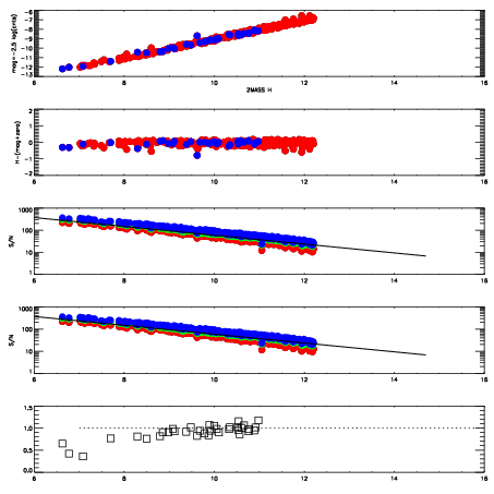
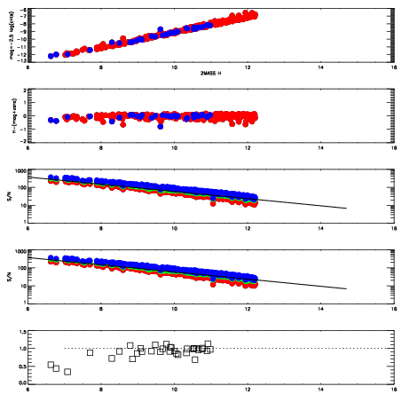
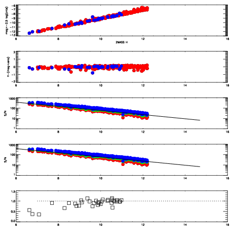
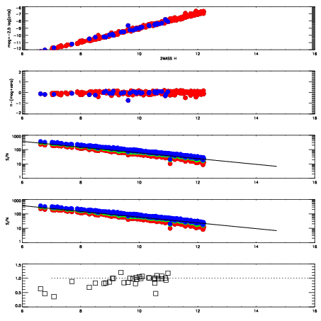
Visit (multiple exposure and dither combined) spectra

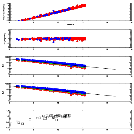
FrameZeropointsMag plots Spatial mag deviation Spatial sky telluric CH4 Spatial sky telluric CO2 Spatial sky telluric H2O Spatial sky 16325A emission deviations (filled: sky, open: star) Spatial sky continuum emission
17980011
RedGreenBlue
z19.11
znorm14.93
sky 14.2 14.1 14.0
S/N 16.1 25.0 29.8
S/N(c) 35.6 27.2 16.2
SN(E/C) 0.94
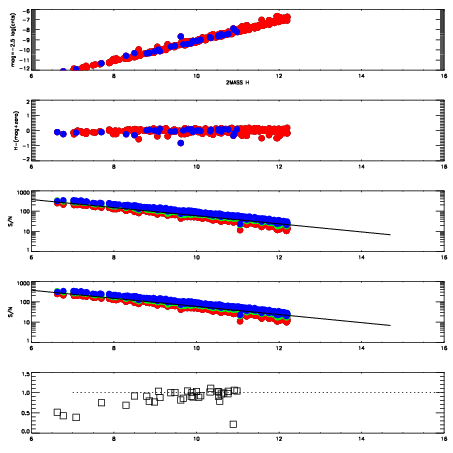
17980012
RedGreenBlue
z19.08
znorm14.90
sky 14.3 14.3 14.2
S/N 15.0 24.1 28.2
S/N(c) 34.7 26.7 15.8
SN(E/C) 0.94
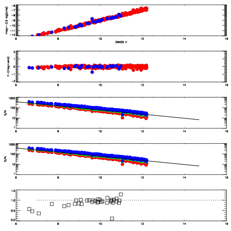
17980013
RedGreenBlue
z19.12
znorm14.94
sky 14.4 14.3 14.2
S/N 15.3 24.1 29.0
S/N(c) 35.2 27.3 16.2
SN(E/C) 0.92
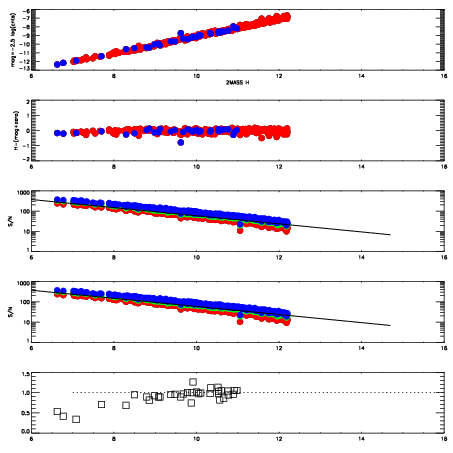
17980014
RedGreenBlue
z19.06
znorm14.88
sky 14.3 14.4 14.3
S/N 14.3 23.7 27.6
S/N(c) 33.7 26.4 15.7
SN(E/C) 0.94
17980015
RedGreenBlue
z19.02
znorm14.84
sky 14.4 14.4 14.3
S/N 14.2 22.9 27.4
S/N(c) 33.0 25.7 15.4
SN(E/C) 0.95
17980016
RedGreenBlue
z18.98
znorm14.80
sky 14.3 14.4 14.3
S/N 14.1 22.1 26.8
S/N(c) 32.4 25.5 15.0
SN(E/C) 0.98
17980017
RedGreenBlue
z19.05
znorm14.87
sky 14.3 14.4 14.4
S/N 14.2 22.7 27.5
S/N(c) 33.3 25.8 15.4
SN(E/C) 0.94
17980018
RedGreenBlue
z19.13
znorm14.95
sky 14.5 14.3 14.2
S/N 14.9 24.1 28.8
S/N(c) 35.1 27.1 16.1
SN(E/C) 0.95
17980019
RedGreenBlue
z19.17
znorm14.99
sky 14.3 14.4 14.3
S/N 15.5 24.6 29.6
S/N(c) 35.3 27.6 16.3
SN(E/C) 0.94
17980020
RedGreenBlue
z19.15
znorm14.97
sky 14.6 14.5 14.3
S/N 15.5 24.4 29.3
S/N(c) 35.7 27.2 16.1
SN(E/C) 0.92
17980021
RedGreenBlue
z19.10
znorm14.92
sky 14.4 14.4 14.3
S/N 15.2 24.3 28.9
S/N(c) 35.2 26.9 15.8
SN(E/C) 0.94
17980022
RedGreenBlue
z19.13
znorm14.95
sky 14.4 14.4 14.4
S/N 15.4 24.5 29.2
S/N(c) 35.8 27.6 16.1
SN(E/C) 0.93