PLATE:8049 MJD: 57466 FIELD: 191+12

FrameCartsec zseeingNreadsDitherPixshiftZerosky continuumS/NS/N(cframe)
19040011 9 1.02 1.56 47 0.00 0.00 19.09 [13.84,13.60,13.37] [ 14.9, 22.7, 27.1] [ 28.5, 26.6, 15.7]
19040012 9 1.01 1.24 47 0.50 -0.00 19.14 [13.96,13.77,13.57] [ 14.9, 24.0, 28.2] [ 28.7, 27.1, 15.9]
19040013 9 1.01 1.28 47 0.50 0.00 19.11 [14.14,13.90,13.61] [ 14.9, 23.6, 27.6] [ 28.4, 26.6, 15.6]
19040014 9 1.01 1.44 47 -0.00 0.00 19.07 [13.95,13.85,13.68] [ 14.4, 23.0, 27.1] [ 27.6, 25.4, 15.4]
19040015 9 1.01 1.48 47 -0.00 0.00 19.05 [13.97,13.86,13.65] [ 14.2, 22.8, 26.1] [ 27.5, 25.9, 15.2]
19040016 9 1.01 1.61 47 0.50 0.00 19.10 [13.96,13.86,13.68] [ 14.6, 23.5, 26.8] [ 28.8, 26.6, 15.7]
19040017 9 1.01 1.46 47 0.50 0.00 19.11 [14.06,13.90,13.80] [ 14.5, 23.6, 26.9] [ 28.9, 26.8, 16.0]
19040018 9 1.02 1.42 47 0.00 -0.00 19.09 [14.05,13.93,13.79] [ 14.6, 23.4, 26.6] [ 28.8, 26.6, 15.9]

IPAIRNAMESHIFTNEWSHIFTS/N NAMESHIFTNEWSHIFTS/N
0 19040017 0.500 0.000 19.10 19040014 -0.001 0.501 19.06
1 19040012 0.499 0.001 19.14 19040011 0.000 0.500 19.08
2 19040013 0.499 0.001 19.10 19040018 0.002 0.498 19.08
3 19040016 0.499 0.001 19.09 19040015 -0.001 0.501 19.04

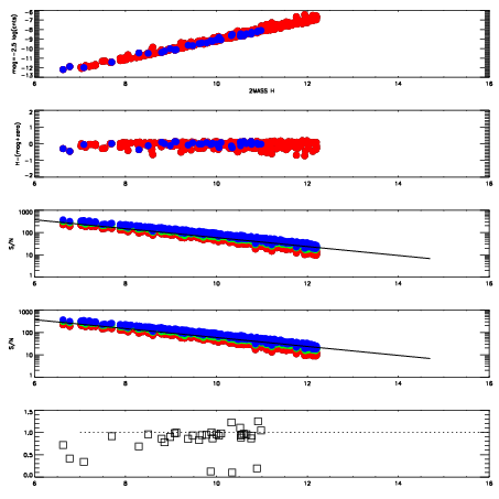
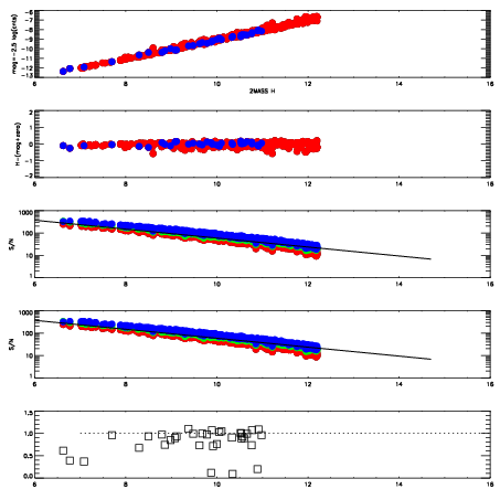
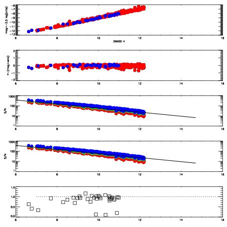
Visit (multiple exposure and dither combined) spectra

FrameZeropointsMag plots Spatial mag deviation Spatial sky telluric CH4 Spatial sky telluric CO2 Spatial sky telluric H2O Spatial sky 16325A emission deviations (filled: sky, open: star) Spatial sky continuum emission
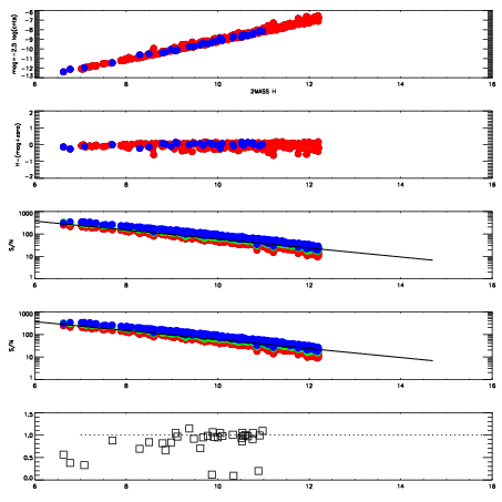
19040011
RedGreenBlue
z19.09
znorm14.90
sky 13.8 13.6 13.4
S/N 14.9 22.7 27.1
S/N(c) 28.5 26.6 15.7
SN(E/C) 0.92
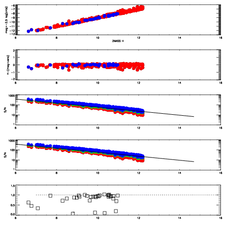
19040012
RedGreenBlue
z19.14
znorm14.96
sky 14.0 13.8 13.6
S/N 14.9 24.0 28.2
S/N(c) 28.7 27.1 15.9
SN(E/C) 0.94
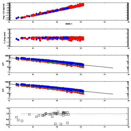
19040013
RedGreenBlue
z19.11
znorm14.93
sky 14.1 13.9 13.6
S/N 14.9 23.6 27.6
S/N(c) 28.4 26.6 15.6
SN(E/C) 0.93
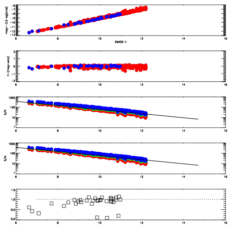
19040014
RedGreenBlue
z19.07
znorm14.89
sky 14.0 13.9 13.7
S/N 14.4 23.0 27.1
S/N(c) 27.6 25.4 15.4
SN(E/C) 0.91
19040015
RedGreenBlue
z19.05
znorm14.87
sky 14.0 13.9 13.7
S/N 14.2 22.8 26.1
S/N(c) 27.5 25.9 15.2
SN(E/C) 0.92
19040016
RedGreenBlue
z19.10
znorm14.92
sky 14.0 13.9 13.7
S/N 14.6 23.5 26.8
S/N(c) 28.8 26.6 15.7
SN(E/C) 0.93
19040017
RedGreenBlue
z19.11
znorm14.93
sky 14.1 13.9 13.8
S/N 14.5 23.6 26.9
S/N(c) 28.9 26.8 16.0
SN(E/C) 0.94
19040018
RedGreenBlue
z19.09
znorm14.91
sky 14.0 13.9 13.8
S/N 14.6 23.4 26.6
S/N(c) 28.8 26.6 15.9
SN(E/C) 0.92