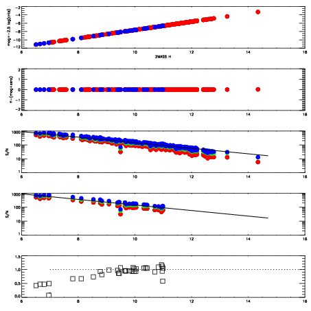
Left plots: red are targets, blue are telluric. Observed mags are calculated from median value of green chip. Zeropoint gives overall throughput: bigger number is more throughput.
First spatial plots: circles are objects, squares are tellurics, crosses are sky fibers. Colors give deviation of observed mag from expected 2MASS mag using the median zeropoint; red is brighter
Second spatial plots: circles are sky fibers. Colors give sky line brightness relative to plate median sky line brightness
FrameNreadsZeropointsMag plots Spatial mag deviation Spatial sky 16325A emission deviations (filled: sky, open: star) Spatial sky continuum emission Spatial sky telluric CO2 absorption deviations (filled: H < 10)
0 0
RedGreenBlue
z17.64
znorm Inf
sky -NaN -Inf -Inf
S/N 27.8 48.2 54.6
S/N(c) 0.0 0.0 0.0
SN(E/C) 0.94

IPAIRNAMESHIFTNEWSHIFTS/N NAMESHIFTNEWSHIFTS/N
0 17690044 0.516647 0.00000 17.9543 17690042 0.00389730 0.512750 17.4683
1 17690035 0.515208 0.00143898 19.0146 17690037 0.00353097 0.513116 19.0001
2 17690040 0.515707 0.000939965 18.9802 17690038 0.00388788 0.512759 18.9574
3 17690039 0.515540 0.00110698 18.9723 17690034 0.00000 0.516647 18.9469
4 17690036 0.515738 0.000908971 18.9695 17690041 0.00439289 0.512254 18.8806
5 17690043 0.515749 0.000898004 17.7895 17690045 0.00317397 0.513473 17.4346