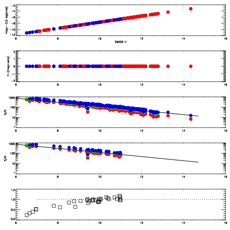
Left plots: red are targets, blue are telluric. Observed mags are calculated from median value of green chip. Zeropoint gives overall throughput: bigger number is more throughput.
First spatial plots: circles are objects, squares are tellurics, crosses are sky fibers. Colors give deviation of observed mag from expected 2MASS mag using the median zeropoint; red is brighter
Second spatial plots: circles are sky fibers. Colors give sky line brightness relative to plate median sky line brightness
FrameNreadsZeropointsMag plots Spatial mag deviation Spatial sky 16325A emission deviations (filled: sky, open: star) Spatial sky continuum emission Spatial sky telluric CO2 absorption deviations (filled: H < 10)
0 0
RedGreenBlue
z17.64
znorm Inf
sky -NaN -NaN -Inf
S/N 29.6 48.3 56.8
S/N(c) 0.0 0.0 0.0
SN(E/C) 0.95

IPAIRNAMESHIFTNEWSHIFTS/N NAMESHIFTNEWSHIFTS/N
0 17950050 0.000635449 0.00000 19.0844 17950051 -0.503206 0.503841 19.0903
1 17950049 0.000474610 0.000160839 19.0523 17950052 -0.503124 0.503759 19.0756
2 17950053 0.000263059 0.000372390 19.0486 17950048 -0.505811 0.506446 19.0334
3 17950046 0.00000 0.000635449 19.0018 17950047 -0.506274 0.506909 19.0331