PLATE:8051 MJD: 57390 FIELD: 270+60

FrameCartsec zseeingNreadsDitherPixshiftZerosky continuumS/NS/N(cframe)
18280011 2 1.53 1.69 47 0.00 0.00 18.90 [14.57,14.61,14.87] [ 16.4, 24.1, 29.3] [ 26.9, 30.1, 44.4]
18280012 2 1.48 1.57 47 0.50 0.00 18.93 [15.14,14.91,14.68] [ 16.5, 24.8, 29.9] [ 27.3, 30.8, 45.0]
18280013 2 1.44 1.59 47 0.50 -0.00 18.93 [15.14,14.93,14.83] [ 16.2, 24.8, 29.2] [ 26.6, 30.2, 44.3]
18280014 2 1.41 1.68 47 0.00 -0.00 18.93 [15.06,15.02,14.77] [ 16.4, 25.1, 29.8] [ 26.8, 30.5, 44.5]
18280015 2 1.37 1.57 47 0.00 -0.00 18.88 [15.03,14.97,14.90] [ 16.1, 24.0, 29.3] [ 26.1, 29.8, 43.4]
18280016 2 1.35 1.54 47 0.50 0.00 19.02 [14.82,14.90,14.82] [ 17.3, 25.5, 31.1] [ 27.5, 31.2, 45.5]
18280017 2 1.32 1.45 47 0.51 -0.00 18.99 [14.93,14.89,14.92] [ 17.1, 25.4, 30.8] [ 27.3, 31.0, 45.3]

IPAIRNAMESHIFTNEWSHIFTS/N NAMESHIFTNEWSHIFTS/N
0 18280017 0.505 0.000 18.96 18280015 0.002 0.504 18.83
1 18280016 0.505 0.000 18.96 18280014 0.002 0.503 18.87
2 18280012 0.504 0.001 18.89 18280011 0.000 0.505 18.83

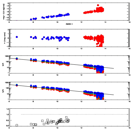
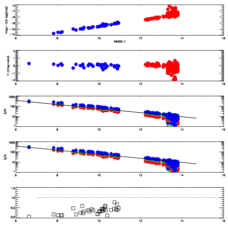
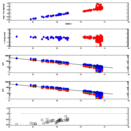
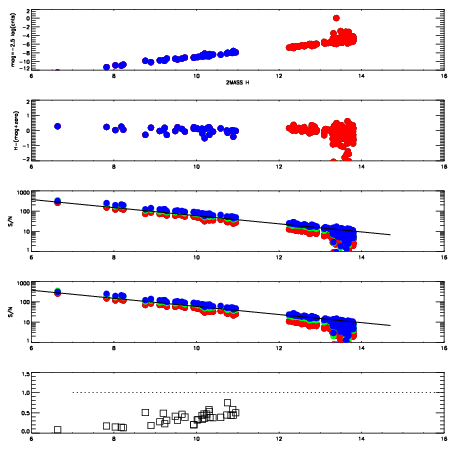
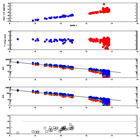
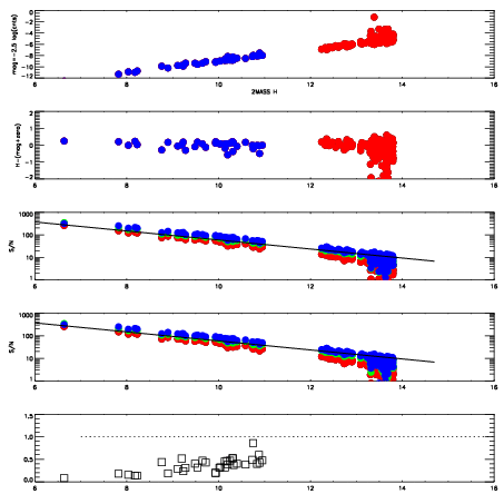
Visit (multiple exposure and dither combined) spectra

FrameZeropointsMag plots Spatial mag deviation Spatial sky telluric CH4 Spatial sky telluric CO2 Spatial sky telluric H2O Spatial sky 16325A emission deviations (filled: sky, open: star) Spatial sky continuum emission
18280011
RedGreenBlue
z18.90
znorm14.72
sky 14.6 14.6 14.9
S/N 16.4 24.1 29.3
S/N(c) 26.9 30.1 44.4
SN(E/C) 0.38
18280012
RedGreenBlue
z18.93
znorm14.75
sky 15.1 14.9 14.7
S/N 16.5 24.8 29.9
S/N(c) 27.3 30.8 45.0
SN(E/C) 0.38
18280013
RedGreenBlue
z18.93
znorm14.75
sky 15.1 14.9 14.8
S/N 16.2 24.8 29.2
S/N(c) 26.6 30.2 44.3
SN(E/C) 0.39
18280014
RedGreenBlue
z18.93
znorm14.75
sky 15.1 15.0 14.8
S/N 16.4 25.1 29.8
S/N(c) 26.8 30.5 44.5
SN(E/C) 0.38
18280015
RedGreenBlue
z18.88
znorm14.70
sky 15.0 15.0 14.9
S/N 16.1 24.0 29.3
S/N(c) 26.1 29.8 43.4
SN(E/C) 0.39
18280016
RedGreenBlue
z19.02
znorm14.84
sky 14.8 14.9 14.8
S/N 17.3 25.5 31.1
S/N(c) 27.5 31.2 45.5
SN(E/C) 0.39
18280017
RedGreenBlue
z18.99
znorm14.81
sky 14.9 14.9 14.9
S/N 17.1 25.4 30.8
S/N(c) 27.3 31.0 45.3
SN(E/C) 0.37