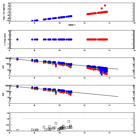
Left plots: red are targets, blue are telluric. Observed mags are calculated from median value of green chip. Zeropoint gives overall throughput: bigger number is more throughput.
First spatial plots: circles are objects, squares are tellurics, crosses are sky fibers. Colors give deviation of observed mag from expected 2MASS mag using the median zeropoint; red is brighter
Second spatial plots: circles are sky fibers. Colors give sky line brightness relative to plate median sky line brightness
FrameNreadsZeropointsMag plots Spatial mag deviation Spatial sky 16325A emission deviations (filled: sky, open: star) Spatial sky continuum emission Spatial sky telluric CO2 absorption deviations (filled: H < 10)
0 0
RedGreenBlue
z17.64
znorm Inf
sky -Inf -Inf -Inf
S/N 26.9 44.2 50.6
S/N(c) 42.0 54.1 19.3
SN(E/C) 0.24

IPAIRNAMESHIFTNEWSHIFTS/N NAMESHIFTNEWSHIFTS/N
0 14670094 0.502017 0.00000 18.8799 14670091 0.00201650 0.500001 18.9091
1 14670090 0.501482 0.000535011 18.9513 14670095 0.00139144 0.500626 18.9540
2 14670089 0.501081 0.000936031 18.9254 14670088 0.00000 0.502017 18.9405
3 14670093 0.501591 0.000425994 18.8798 14670092 0.00218536 0.499832 18.8974