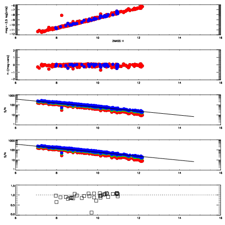
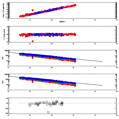
Frame | Nreads | Zeropoints | Mag plots
| Spatial mag deviation
| Spatial sky 16325A emission deviations (filled: sky, open: star)
| Spatial sky continuum emission
| Spatial sky telluric CO2 absorption deviations (filled: H < 10)
|
17050022
| 47
| | Red | Green | Blue
| z | | 17.95
| znorm | | 13.77
| sky | 14.0 | 14.1 | 14.3
| S/N | 5.8 | 11.5 | 13.2
| S/N(c) | 29.9 | 16.2 | 9.8
| SN(E/C) | 0.95
|
|
|
|
|
|
|
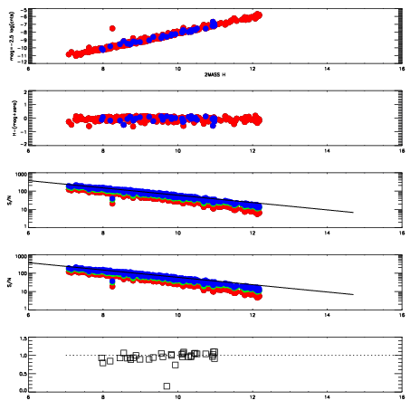
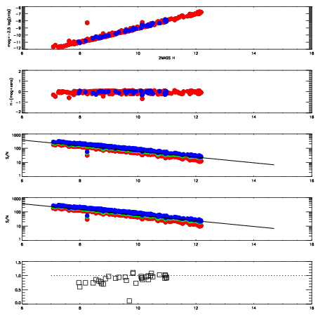
17050023
| 47
| | Red | Green | Blue
| z | | 18.07
| znorm | | 13.89
| sky | 14.3 | 14.1 | 14.4
| S/N | 5.7 | 11.5 | 13.6
| S/N(c) | 32.4 | 17.7 | 10.7
| SN(E/C) | 0.94
|
|
|
|
|
|
|
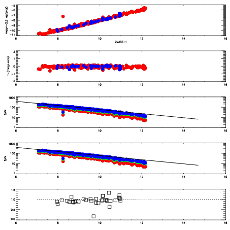
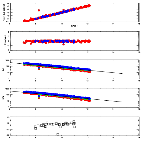
17050024
| 47
| | Red | Green | Blue
| z | | 17.86
| znorm | | 13.68
| sky | 14.1 | 14.1 | 14.3
| S/N | 5.2 | 10.5 | 12.7
| S/N(c) | 28.3 | 15.8 | 9.4
| SN(E/C) | 0.94
|
|
|
|
|
|
|
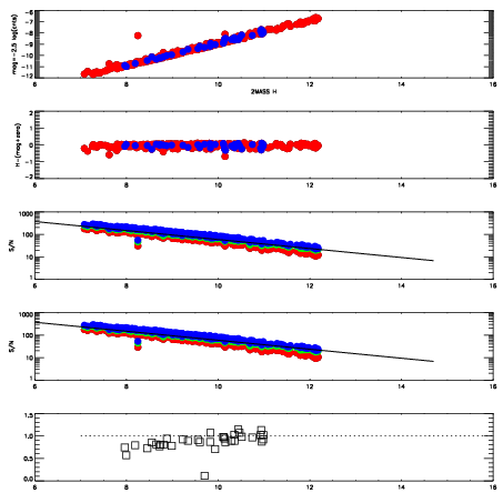
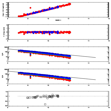
17050025
| 47
| | Red | Green | Blue
| z | | 17.66
| znorm | | 13.48
| sky | 14.3 | 14.2 | 14.3
| S/N | 4.5 | 9.0 | 10.6
| S/N(c) | 24.8 | 14.0 | 8.4
| SN(E/C) | 0.98
|
|
|
|
|
|
|
17050026
| 47
| | Red | Green | Blue
| z | | 18.17
| znorm | | 13.99
| sky | 14.1 | 14.1 | 14.2
| S/N | 6.9 | 13.0 | 15.7
| S/N(c) | 34.2 | 18.6 | 11.1
| SN(E/C) | 0.96
|
|
|
|
|
|
|
17050027
| 47
| | Red | Green | Blue
| z | | 18.70
| znorm | | 14.52
| sky | 14.0 | 14.0 | 14.1
| S/N | 10.0 | 17.9 | 21.4
| S/N(c) | 44.1 | 23.4 | 14.0
| SN(E/C) | 0.95
|
|
|
|
|
|
|
17050028
| 47
| | Red | Green | Blue
| z | | 19.06
| znorm | | 14.88
| sky | 14.0 | 14.0 | 14.1
| S/N | 13.0 | 22.3 | 26.6
| S/N(c) | 53.3 | 27.7 | 16.6
| SN(E/C) | 0.90
|
|
|
|
|
|
|
17050029
| 47
| | Red | Green | Blue
| z | | 19.03
| znorm | | 14.85
| sky | 14.0 | 14.1 | 14.0
| S/N | 12.8 | 22.2 | 26.5
| S/N(c) | 52.3 | 27.4 | 16.6
| SN(E/C) | 0.91
|
|
|
|
|
|
|
17050030
| 47
| | Red | Green | Blue
| z | | 18.94
| znorm | | 14.76
| sky | 14.0 | 14.0 | 14.0
| S/N | 12.8 | 21.7 | 26.0
| S/N(c) | 49.4 | 26.1 | 16.0
| SN(E/C) | 0.89
|
|
|
|
|
|
|
17050031
| 47
| | Red | Green | Blue
| z | | 18.98
| znorm | | 14.80
| sky | 14.1 | 14.0 | 14.2
| S/N | 13.2 | 22.5 | 26.5
| S/N(c) | 50.7 | 26.8 | 16.4
| SN(E/C) | 0.89
|
|
|
|
|
|
|
17050032
| 47
| | Red | Green | Blue
| z | | 18.88
| znorm | | 14.70
| sky | 14.1 | 14.1 | 14.2
| S/N | 12.5 | 21.7 | 25.3
| S/N(c) | 48.2 | 25.4 | 15.6
| SN(E/C) | 0.90
|
|
|
|
|
|
|
17050033
| 47
| | Red | Green | Blue
| z | | 18.08
| znorm | | 13.90
| sky | 14.0 | 14.0 | 14.0
| S/N | 7.1 | 13.2 | 15.4
| S/N(c) | 31.3 | 17.0 | 10.4
| SN(E/C) | 1.05
|
|
|
|
|
|
|
17050034
| 47
| | Red | Green | Blue
| z | | 18.36
| znorm | | 14.18
| sky | 14.0 | 14.1 | 14.2
| S/N | 8.6 | 16.2 | 18.5
| S/N(c) | 36.6 | 19.7 | 11.8
| SN(E/C) | 0.95
|
|
|
|
|
|
|