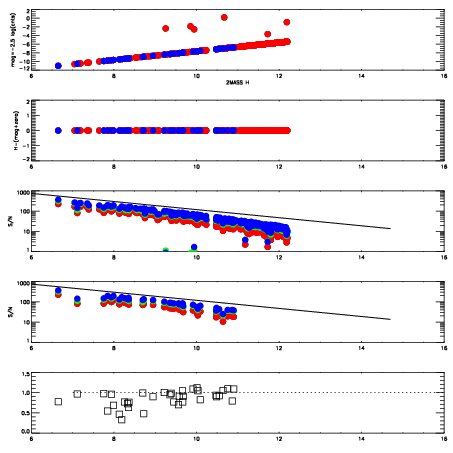
Left plots: red are targets, blue are telluric. Observed mags are calculated from median value of green chip. Zeropoint gives overall throughput: bigger number is more throughput.
First spatial plots: circles are objects, squares are tellurics, crosses are sky fibers. Colors give deviation of observed mag from expected 2MASS mag using the median zeropoint; red is brighter
Second spatial plots: circles are sky fibers. Colors give sky line brightness relative to plate median sky line brightness
FrameNreadsZeropointsMag plots Spatial mag deviation Spatial sky 16325A emission deviations (filled: sky, open: star) Spatial sky continuum emission Spatial sky telluric CO2 absorption deviations (filled: H < 10)
0 0
RedGreenBlue
z17.64
znorm Inf
sky -Inf -Inf -NaN
S/N 6.6 12.6 14.3
S/N(c) 0.0 0.0 0.0
SN(E/C) 0.91

IPAIRNAMESHIFTNEWSHIFTS/N NAMESHIFTNEWSHIFTS/N
0 14380041 0.497478 0.00000 16.2349 14380042 0.00107918 0.496399 16.6938
1 14380036 0.496234 0.00124401 17.7587 14380035 0.00000 0.497478 17.5392
2 14380037 0.496757 0.000721008 17.6196 14380039 -6.91313e-05 0.497547 17.3498
3 14380040 0.496029 0.00144902 16.7867 14380038 -0.000122320 0.497600 16.8475