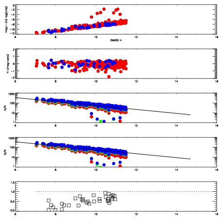
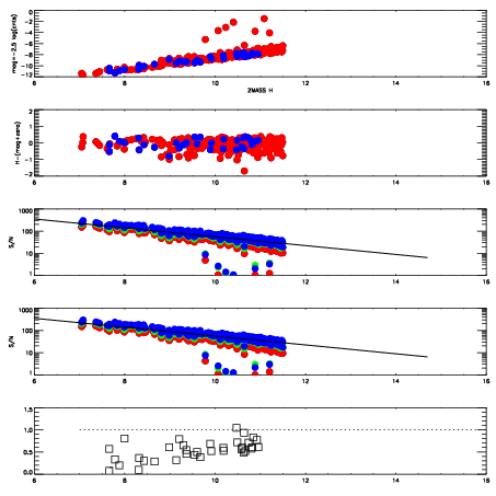
Left plots: red are targets, blue are telluric. Observed mags are calculated from median value of green chip. Zeropoint gives overall throughput: bigger number is more throughput.
First spatial plots: circles are objects, squares are tellurics, crosses are sky fibers. Colors give deviation of observed mag from expected 2MASS mag using the median zeropoint; red is brighter
Second spatial plots: circles are sky fibers. Colors give sky line brightness relative to plate median sky line brightness
FrameNreadsZeropointsMag plots Spatial mag deviation Spatial sky 16325A emission deviations (filled: sky, open: star) Spatial sky continuum emission Spatial sky telluric CO2 absorption deviations (filled: H < 10)
13910001 42
RedGreenBlue
z18.63
znorm14.57
sky 14.7 14.5 14.6
S/N 13.0 21.3 23.4
S/N(c) 18.9 22.0 14.2
SN(E/C) 0.53
13910002 42
RedGreenBlue
z18.65
znorm14.60
sky 14.7 14.7 14.8
S/N 12.8 20.7 22.8
S/N(c) 18.9 22.2 14.3
SN(E/C) 0.57