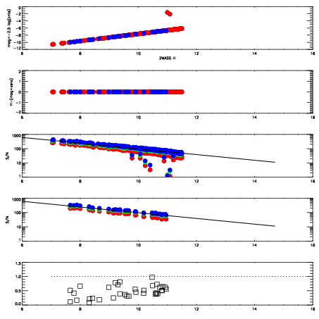
Left plots: red are targets, blue are telluric. Observed mags are calculated from median value of green chip. Zeropoint gives overall throughput: bigger number is more throughput.
First spatial plots: circles are objects, squares are tellurics, crosses are sky fibers. Colors give deviation of observed mag from expected 2MASS mag using the median zeropoint; red is brighter
Second spatial plots: circles are sky fibers. Colors give sky line brightness relative to plate median sky line brightness
FrameNreadsZeropointsMag plots Spatial mag deviation Spatial sky 16325A emission deviations (filled: sky, open: star) Spatial sky continuum emission Spatial sky telluric CO2 absorption deviations (filled: H < 10)
0 0
RedGreenBlue
z17.64
znorm Inf
sky -Inf -Inf -NaN
S/N 19.9 32.7 37.7
S/N(c) 0.0 0.0 0.0
SN(E/C) 0.45

IPAIRNAMESHIFTNEWSHIFTS/N NAMESHIFTNEWSHIFTS/N
0 13930013 0.500210 0.00000 18.5026 13930014 0.000327242 0.499883 18.5073
1 13930012 0.499227 0.000983000 18.6298 13930011 0.00000 0.500210 18.5921
2 13930016 0.499377 0.000832975 18.5361 13930015 -0.000211486 0.500421 18.5445