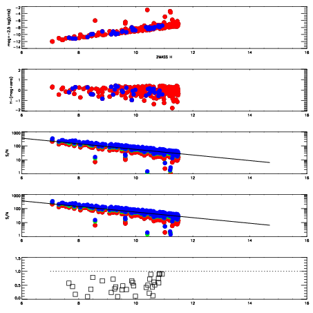
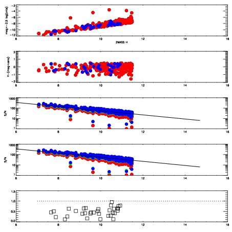
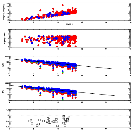
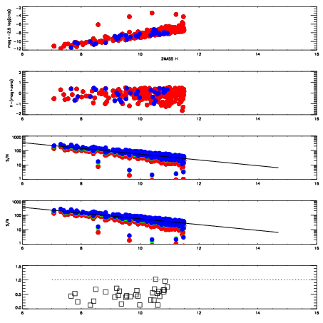
Frame | Nreads | Zeropoints | Mag plots
| Spatial mag deviation
| Spatial sky 16325A emission deviations (filled: sky, open: star)
| Spatial sky continuum emission
| Spatial sky telluric CO2 absorption deviations (filled: H < 10)
|
13930020
| 42
| | Red | Green | Blue
| z | | 18.84
| znorm | | 14.79
| sky | 14.2 | 14.3 | 14.6
| S/N | 14.0 | 21.7 | 25.3
| S/N(c) | 13.2 | 21.7 | 36.9
| SN(E/C) | 0.48
|
|
|
|
|
|
|
13930021
| 42
| | Red | Green | Blue
| z | | 18.89
| znorm | | 14.83
| sky | 14.7 | 14.5 | 14.6
| S/N | 14.2 | 22.1 | 25.9
| S/N(c) | 13.5 | 22.1 | 37.6
| SN(E/C) | 0.45
|
|
|
|
|
|
|
13930022
| 42
| | Red | Green | Blue
| z | | 18.69
| znorm | | 14.63
| sky | 14.7 | 14.7 | 14.8
| S/N | 14.0 | 22.7 | 24.9
| S/N(c) | 11.8 | 19.4 | 32.8
| SN(E/C) | 0.48
|
|
|
|
|
|
|
13930023
| 42
| | Red | Green | Blue
| z | | 18.74
| znorm | | 14.68
| sky | 14.6 | 14.7 | 14.7
| S/N | 14.3 | 23.3 | 25.9
| S/N(c) | 12.4 | 20.1 | 34.4
| SN(E/C) | 0.45
|
|
|
|
|
|
|
13930024
| 42
| | Red | Green | Blue
| z | | 18.24
| znorm | | 14.18
| sky | 14.8 | 14.8 | 14.9
| S/N | 10.4 | 16.9 | 19.6
| S/N(c) | 9.4 | 16.2 | 27.0
| SN(E/C) | 0.62
|
|
|
|
|
|
|
13930025
| 42
| | Red | Green | Blue
| z | | 18.22
| znorm | | 14.17
| sky | 14.7 | 14.8 | 14.9
| S/N | 10.1 | 16.9 | 19.3
| S/N(c) | 9.1 | 15.8 | 26.5
| SN(E/C) | 0.65
|
|
|
|
|
|
|
13930026
| 42
| | Red | Green | Blue
| z | | 18.83
| znorm | | 14.77
| sky | 14.5 | 14.6 | 14.7
| S/N | 13.5 | 22.4 | 25.1
| S/N(c) | 12.7 | 20.8 | 35.4
| SN(E/C) | 0.50
|
|
|
|
|
|
|
13930027
| 42
| | Red | Green | Blue
| z | | 18.77
| znorm | | 14.71
| sky | 14.8 | 14.7 | 14.6
| S/N | 13.0 | 21.1 | 24.3
| S/N(c) | 12.5 | 20.5 | 34.0
| SN(E/C) | 0.48
|
|
|
|
|
|
|
13930028
| 42
| | Red | Green | Blue
| z | | 18.71
| znorm | | 14.65
| sky | 14.7 | 14.7 | 14.7
| S/N | 13.3 | 21.9 | 23.9
| S/N(c) | 12.1 | 19.8 | 33.4
| SN(E/C) | 0.51
|
|
|
|
|
|
|
13930029
| 42
| | Red | Green | Blue
| z | | 18.67
| znorm | | 14.62
| sky | 14.6 | 14.7 | 14.7
| S/N | 12.5 | 21.0 | 22.4
| S/N(c) | 11.3 | 18.8 | 31.9
| SN(E/C) | 0.49
|
|
|
|
|
|
|
13930030
| 42
| | Red | Green | Blue
| z | | 17.73
| znorm | | 13.67
| sky | 15.0 | 14.9 | 15.1
| S/N | 6.4 | 12.4 | 13.1
| S/N(c) | 6.2 | 11.9 | 19.7
| SN(E/C) | 0.66
|
|
|
|
|
|
|
13930031
| 42
| | Red | Green | Blue
| z | | 17.61
| znorm | | 13.55
| sky | 14.9 | 14.9 | 15.0
| S/N | 5.9 | 11.6 | 11.9
| S/N(c) | 5.9 | 11.4 | 18.6
| SN(E/C) | 0.73
|
|
|
|
|
|
|