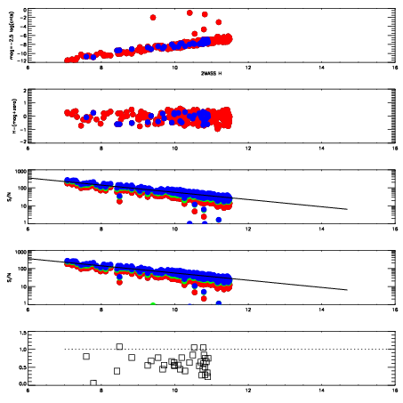
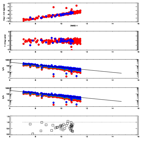
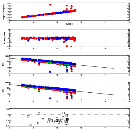
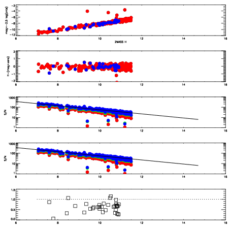
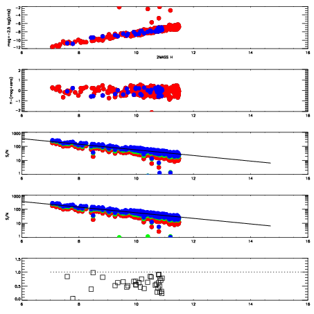
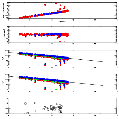
Left plots: red are targets, blue are telluric. Observed mags are calculated from median value of green chip. Zeropoint gives overall throughput: bigger number is more throughput.
First spatial plots: circles are objects, squares are tellurics, crosses are sky fibers. Colors give deviation of observed mag from expected 2MASS mag using the median zeropoint; red is brighter
Second spatial plots: circles are sky fibers. Colors give sky line brightness relative to plate median sky line brightness
FrameNreadsZeropointsMag plots Spatial mag deviation Spatial sky 16325A emission deviations (filled: sky, open: star) Spatial sky continuum emission Spatial sky telluric CO2 absorption deviations (filled: H < 10)
18650011 47
RedGreenBlue
z18.84
znorm14.66
sky 14.3 14.2 13.9
S/N 14.9 23.3 26.5
S/N(c) 19.8 14.0 13.0
SN(E/C) 0.52
18650012 47
RedGreenBlue
z19.01
znorm14.83
sky 14.6 14.3 14.1
S/N 16.5 25.1 28.8
S/N(c) 21.1 15.2 14.2
SN(E/C) 0.48
18650013 42
RedGreenBlue
z18.27
znorm14.21
sky 14.5 14.4 14.5
S/N 10.1 17.3 19.7
S/N(c) 14.3 11.0 10.3
SN(E/C) 0.63
18650014 42
RedGreenBlue
z18.21
znorm14.16
sky 14.7 14.7 14.6
S/N 9.8 16.8 19.1
S/N(c) 13.4 10.7 9.9
SN(E/C) 0.66
18650015 42
RedGreenBlue
z18.38
znorm14.32
sky 14.8 14.8 14.6
S/N 10.5 18.2 19.7
S/N(c) 14.2 11.2 10.4
SN(E/C) 0.60
18650016 42
RedGreenBlue
z18.38
znorm14.33
sky 14.8 14.7 14.6
S/N 10.6 18.5 20.2
S/N(c) 14.4 11.3 10.4
SN(E/C) 0.62