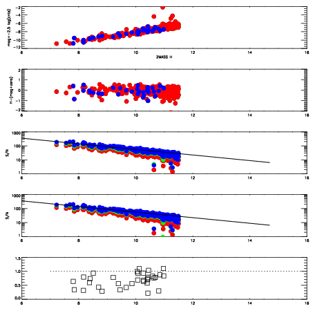
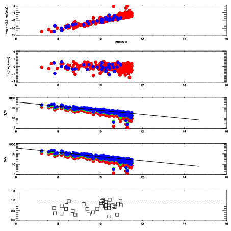
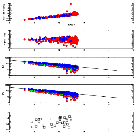
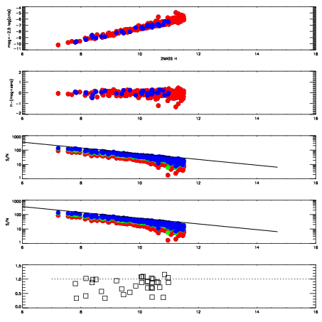
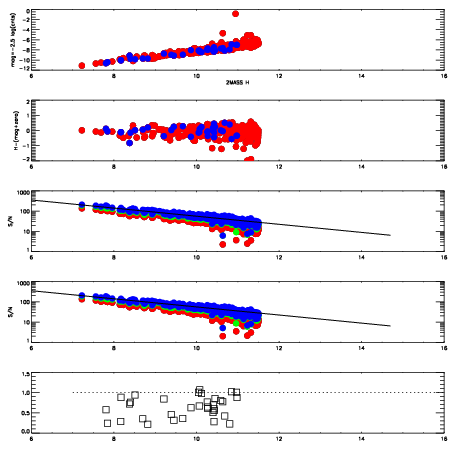
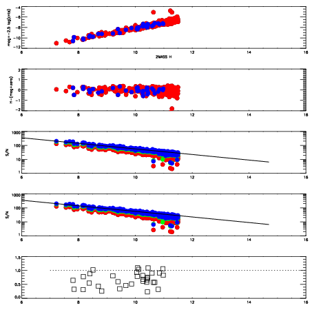
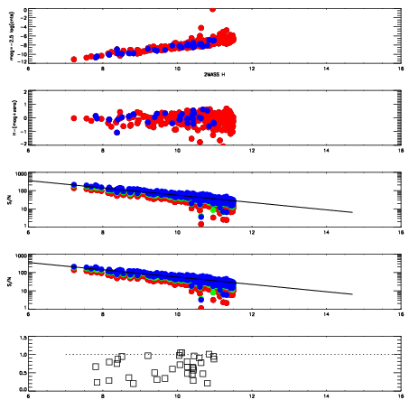
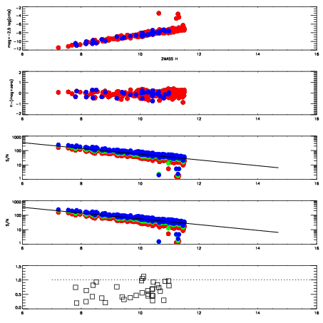
Frame | Nreads | Zeropoints | Mag plots
| Spatial mag deviation
| Spatial sky 16325A emission deviations (filled: sky, open: star)
| Spatial sky continuum emission
| Spatial sky telluric CO2 absorption deviations (filled: H < 10)
|
17700011
| 42
| | Red | Green | Blue
| z | | 18.66
| znorm | | 14.61
| sky | 14.8 | 14.5 | 14.5
| S/N | 13.1 | 21.7 | 24.7
| S/N(c) | 18.8 | 25.1 | 8.6
| SN(E/C) | 0.52
|
|
|
|
|
|
|
17700012
| 42
| | Red | Green | Blue
| z | | 18.61
| znorm | | 14.55
| sky | 14.9 | 14.8 | 14.7
| S/N | 12.5 | 20.7 | 23.7
| S/N(c) | 18.6 | 24.5 | 8.5
| SN(E/C) | 0.62
|
|
|
|
|
|
|
17700013
| 42
| | Red | Green | Blue
| z | | 18.19
| znorm | | 14.13
| sky | 14.7 | 14.9 | 14.9
| S/N | 9.1 | 15.7 | 18.1
| S/N(c) | 14.0 | 19.7 | 6.6
| SN(E/C) | 0.71
|
|
|
|
|
|
|
17700014
| 42
| | Red | Green | Blue
| z | | 18.19
| znorm | | 14.14
| sky | 15.1 | 15.1 | 14.8
| S/N | 9.2 | 15.8 | 18.1
| S/N(c) | 14.0 | 19.9 | 6.5
| SN(E/C) | 0.73
|
|
|
|
|
|
|
17700015
| 42
| | Red | Green | Blue
| z | | 18.31
| znorm | | 14.25
| sky | 15.4 | 15.1 | 15.0
| S/N | 9.9 | 17.1 | 19.8
| S/N(c) | 15.9 | 21.9 | 7.4
| SN(E/C) | 0.67
|
|
|
|
|
|
|
17700016
| 42
| | Red | Green | Blue
| z | | 18.27
| znorm | | 14.21
| sky | 15.0 | 15.2 | 15.3
| S/N | 9.7 | 16.6 | 19.2
| S/N(c) | 15.4 | 21.3 | 7.2
| SN(E/C) | 0.69
|
|
|
|
|
|
|
17700017
| 42
| | Red | Green | Blue
| z | | 18.37
| znorm | | 14.31
| sky | 15.3 | 15.1 | 15.0
| S/N | 10.4 | 17.7 | 20.5
| S/N(c) | 16.2 | 22.7 | 7.6
| SN(E/C) | 0.66
|
|
|
|
|
|
|
17700018
| 42
| | Red | Green | Blue
| z | | 18.26
| znorm | | 14.20
| sky | 15.1 | 15.2 | 15.2
| S/N | 9.8 | 16.9 | 19.1
| S/N(c) | 15.0 | 21.2 | 7.2
| SN(E/C) | 0.71
|
|
|
|
|
|
|
17700019
| 42
| | Red | Green | Blue
| z | | 18.76
| znorm | | 14.70
| sky | 15.1 | 15.1 | 15.1
| S/N | 13.4 | 21.0 | 25.5
| S/N(c) | 19.8 | 26.4 | 8.9
| SN(E/C) | 0.53
|
|
|
|
|
|
|
17700020
| 42
| | Red | Green | Blue
| z | | 18.56
| znorm | | 14.51
| sky | 14.8 | 14.9 | 15.1
| S/N | 11.8 | 19.3 | 22.5
| S/N(c) | 17.6 | 23.9 | 7.9
| SN(E/C) | 0.65
|
|
|
|
|
|
|
17700021
| 42
| | Red | Green | Blue
| z | | 18.39
| znorm | | 14.33
| sky | 15.6 | 15.1 | 15.0
| S/N | 10.9 | 18.1 | 21.3
| S/N(c) | 15.6 | 22.0 | 7.2
| SN(E/C) | 0.67
|
|
|
|
|
|
|
17700022
| 42
| | Red | Green | Blue
| z | | 18.19
| znorm | | 14.14
| sky | 15.0 | 15.2 | 14.9
| S/N | 9.6 | 16.6 | 19.1
| S/N(c) | 14.1 | 20.0 | 6.6
| SN(E/C) | 0.68
|
|
|
|
|
|
|
17700023
| 42
| | Red | Green | Blue
| z | | 17.82
| znorm | | 13.76
| sky | 14.9 | 15.4 | 15.0
| S/N | 7.2 | 13.5 | 15.0
| S/N(c) | 11.7 | 17.1 | 5.7
| SN(E/C) | 0.80
|
|
|
|
|
|
|
17700024
| 42
| | Red | Green | Blue
| z | | 17.48
| znorm | | 13.42
| sky | 15.6 | 15.1 | 15.3
| S/N | 5.8 | 11.3 | 12.4
| S/N(c) | 9.1 | 14.3 | 4.6
| SN(E/C) | 0.88
|
|
|
|
|
|
|