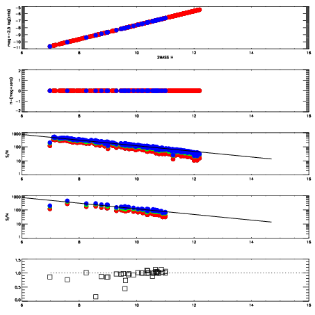
Left plots: red are targets, blue are telluric. Observed mags are calculated from median value of green chip. Zeropoint gives overall throughput: bigger number is more throughput.
First spatial plots: circles are objects, squares are tellurics, crosses are sky fibers. Colors give deviation of observed mag from expected 2MASS mag using the median zeropoint; red is brighter
Second spatial plots: circles are sky fibers. Colors give sky line brightness relative to plate median sky line brightness
FrameNreadsZeropointsMag plots Spatial mag deviation Spatial sky 16325A emission deviations (filled: sky, open: star) Spatial sky continuum emission Spatial sky telluric CO2 absorption deviations (filled: H < 10)
0 0
RedGreenBlue
z17.64
znorm Inf
sky -Inf -Inf -NaN
S/N 18.2 31.8 35.4
S/N(c) 0.0 0.0 0.0
SN(E/C) 0.99

IPAIRNAMESHIFTNEWSHIFTS/N NAMESHIFTNEWSHIFTS/N
0 15210024 0.509758 0.00000 18.7531 15210026 0.000634320 0.509124 18.9193
1 15210027 0.508582 0.00117600 18.6071 15210025 0.00123999 0.508518 18.7727
2 15210023 0.508540 0.00121802 18.5208 15210022 0.00000 0.509758 18.3513
3 15210028 0.509621 0.000136971 18.4707 15210029 0.00179987 0.507958 18.1493