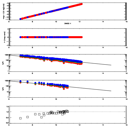
Left plots: red are targets, blue are telluric. Observed mags are calculated from median value of green chip. Zeropoint gives overall throughput: bigger number is more throughput.
First spatial plots: circles are objects, squares are tellurics, crosses are sky fibers. Colors give deviation of observed mag from expected 2MASS mag using the median zeropoint; red is brighter
Second spatial plots: circles are sky fibers. Colors give sky line brightness relative to plate median sky line brightness
FrameNreadsZeropointsMag plots Spatial mag deviation Spatial sky 16325A emission deviations (filled: sky, open: star) Spatial sky continuum emission Spatial sky telluric CO2 absorption deviations (filled: H < 10)
0 0
RedGreenBlue
z17.64
znorm Inf
sky -Inf -Inf -NaN
S/N 29.1 48.4 55.3
S/N(c) 0.0 0.0 0.0
SN(E/C) 0.92

IPAIRNAMESHIFTNEWSHIFTS/N NAMESHIFTNEWSHIFTS/N
0 17660075 0.504137 0.00000 19.1164 17660072 0.00392694 0.500210 19.1306
1 17660074 0.503353 0.000783980 19.1906 17660073 0.00384853 0.500288 19.1815
2 17660071 0.502791 0.00134599 19.1135 17660076 0.00543446 0.498703 19.1089
3 17660070 0.501957 0.00217998 19.0220 17660069 0.00000 0.504137 19.0688