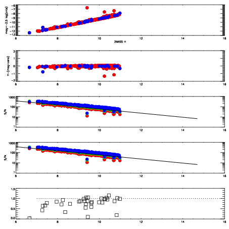
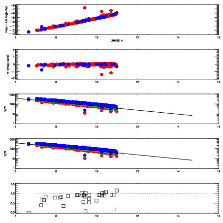
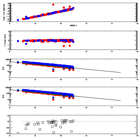
Left plots: red are targets, blue are telluric. Observed mags are calculated from median value of green chip. Zeropoint gives overall throughput: bigger number is more throughput.
First spatial plots: circles are objects, squares are tellurics, crosses are sky fibers. Colors give deviation of observed mag from expected 2MASS mag using the median zeropoint; red is brighter
Second spatial plots: circles are sky fibers. Colors give sky line brightness relative to plate median sky line brightness
FrameNreadsZeropointsMag plots Spatial mag deviation Spatial sky 16325A emission deviations (filled: sky, open: star) Spatial sky continuum emission Spatial sky telluric CO2 absorption deviations (filled: H < 10)
19710070 47
RedGreenBlue
z19.16
znorm14.98
sky 14.2 14.0 14.1
S/N 18.7 27.2 32.1
S/N(c) 11.0 19.1 31.4
SN(E/C) 0.87
19710071 47
RedGreenBlue
z19.17
znorm14.99
sky 14.3 14.2 14.1
S/N 18.9 27.8 32.3
S/N(c) 11.0 19.1 31.5
SN(E/C) 0.86
19710072 47
RedGreenBlue
z19.20
znorm15.02
sky 14.3 14.3 14.1
S/N 19.5 28.6 33.2
S/N(c) 11.2 19.4 32.0
SN(E/C) 0.89
19710073 47
RedGreenBlue
z19.22
znorm15.04
sky 14.4 14.3 14.2
S/N 19.7 28.9 33.4
S/N(c) 11.3 19.5 32.2
SN(E/C) 0.84
19710074 47
RedGreenBlue
z19.21
znorm15.03
sky 14.5 14.3 14.3
S/N 19.7 28.8 33.5
S/N(c) 11.4 19.4 32.1
SN(E/C) 0.84
19710075 47
RedGreenBlue
z19.21
znorm15.03
sky 14.3 14.2 14.1
S/N 19.4 28.8 33.2
S/N(c) 11.5 19.5 32.0
SN(E/C) 0.88