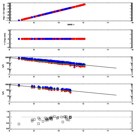
Left plots: red are targets, blue are telluric. Observed mags are calculated from median value of green chip. Zeropoint gives overall throughput: bigger number is more throughput.
First spatial plots: circles are objects, squares are tellurics, crosses are sky fibers. Colors give deviation of observed mag from expected 2MASS mag using the median zeropoint; red is brighter
Second spatial plots: circles are sky fibers. Colors give sky line brightness relative to plate median sky line brightness
FrameNreadsZeropointsMag plots Spatial mag deviation Spatial sky 16325A emission deviations (filled: sky, open: star) Spatial sky continuum emission Spatial sky telluric CO2 absorption deviations (filled: H < 10)
0 0
RedGreenBlue
z17.64
znorm Inf
sky -Inf -Inf -NaN
S/N 32.0 51.1 63.6
S/N(c) 0.0 0.0 0.0
SN(E/C) 0.89

IPAIRNAMESHIFTNEWSHIFTS/N NAMESHIFTNEWSHIFTS/N
0 19670070 0.481580 0.00000 18.9699 19670069 0.00000 0.481580 18.9199
1 19670071 0.480139 0.00144100 19.1054 19670072 -0.00383623 0.485416 19.0952
2 19670074 0.477364 0.00421599 19.0875 19670073 -0.00409079 0.485671 19.0729
3 19670075 0.480386 0.00119400 19.0669 19670076 -0.00289449 0.484474 19.0581