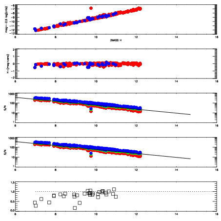
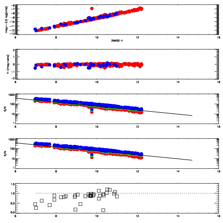
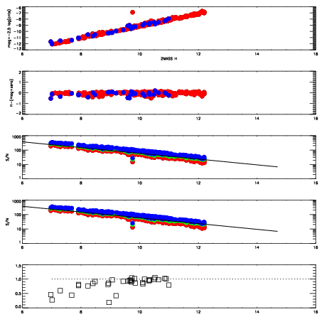
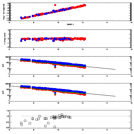
Left plots: red are targets, blue are telluric. Observed mags are calculated from median value of green chip. Zeropoint gives overall throughput: bigger number is more throughput.
First spatial plots: circles are objects, squares are tellurics, crosses are sky fibers. Colors give deviation of observed mag from expected 2MASS mag using the median zeropoint; red is brighter
Second spatial plots: circles are sky fibers. Colors give sky line brightness relative to plate median sky line brightness
FrameNreadsZeropointsMag plots Spatial mag deviation Spatial sky 16325A emission deviations (filled: sky, open: star) Spatial sky continuum emission Spatial sky telluric CO2 absorption deviations (filled: H < 10)
19900069 47
RedGreenBlue
z19.16
znorm14.98
sky 14.4 14.3 14.4
S/N 16.4 27.0 31.3
S/N(c) 22.0 35.0 11.1
SN(E/C) 0.92
19900070 47
RedGreenBlue
z19.20
znorm15.02
sky 14.2 14.3 14.2
S/N 16.5 27.8 31.4
S/N(c) 22.2 35.6 11.2
SN(E/C) 0.87
19900071 47
RedGreenBlue
z19.20
znorm15.02
sky 14.2 14.2 14.4
S/N 17.0 28.1 32.1
S/N(c) 22.4 35.9 11.3
SN(E/C) 0.86
19900072 47
RedGreenBlue
z19.21
znorm15.03
sky 14.2 14.2 14.3
S/N 16.8 28.0 31.9
S/N(c) 22.4 36.0 11.3
SN(E/C) 0.86