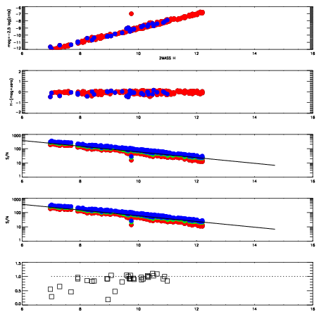
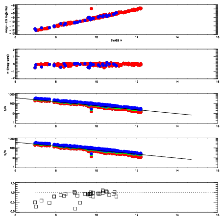
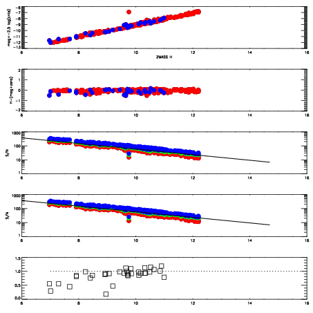
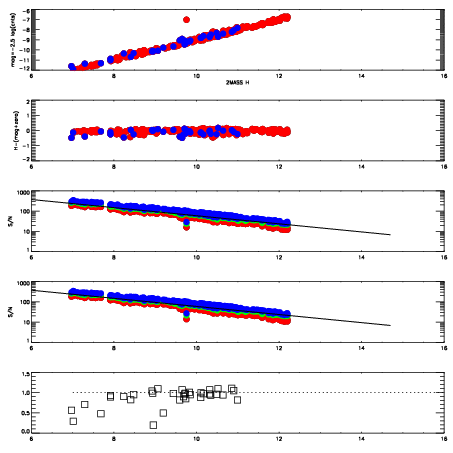
Left plots: red are targets, blue are telluric. Observed mags are calculated from median value of green chip. Zeropoint gives overall throughput: bigger number is more throughput.
First spatial plots: circles are objects, squares are tellurics, crosses are sky fibers. Colors give deviation of observed mag from expected 2MASS mag using the median zeropoint; red is brighter
Second spatial plots: circles are sky fibers. Colors give sky line brightness relative to plate median sky line brightness
FrameNreadsZeropointsMag plots Spatial mag deviation Spatial sky 16325A emission deviations (filled: sky, open: star) Spatial sky continuum emission Spatial sky telluric CO2 absorption deviations (filled: H < 10)
19910067 47
RedGreenBlue
z19.14
znorm14.96
sky 14.2 14.0 14.2
S/N 16.3 26.5 30.4
S/N(c) 21.4 34.4 10.9
SN(E/C) 0.91
19910068 47
RedGreenBlue
z19.15
znorm14.97
sky 14.2 14.1 14.1
S/N 16.1 26.8 30.5
S/N(c) 21.3 34.6 10.9
SN(E/C) 0.91
19910069 47
RedGreenBlue
z19.05
znorm14.87
sky 14.3 14.1 14.1
S/N 15.1 25.6 28.8
S/N(c) 20.1 32.8 10.3
SN(E/C) 0.95
19910070 47
RedGreenBlue
z19.07
znorm14.89
sky 14.2 14.2 14.0
S/N 15.4 25.8 29.0
S/N(c) 20.6 33.5 10.4
SN(E/C) 0.92