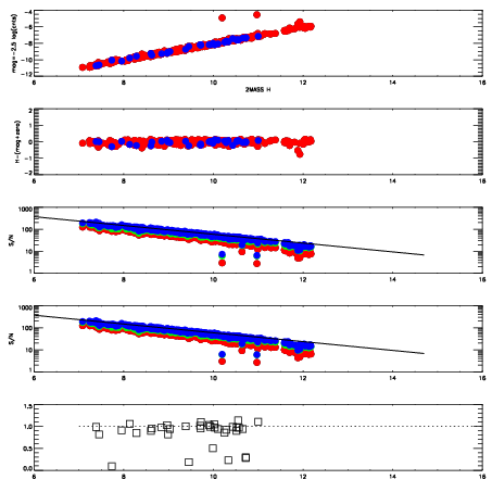
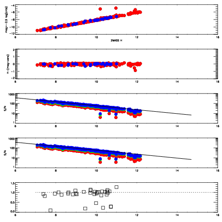
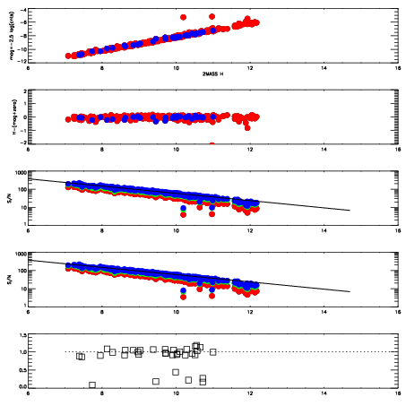
Left plots: red are targets, blue are telluric. Observed mags are calculated from median value of green chip. Zeropoint gives overall throughput: bigger number is more throughput.
First spatial plots: circles are objects, squares are tellurics, crosses are sky fibers. Colors give deviation of observed mag from expected 2MASS mag using the median zeropoint; red is brighter
Second spatial plots: circles are sky fibers. Colors give sky line brightness relative to plate median sky line brightness
FrameNreadsZeropointsMag plots Spatial mag deviation Spatial sky 16325A emission deviations (filled: sky, open: star) Spatial sky continuum emission Spatial sky telluric CO2 absorption deviations (filled: H < 10)
20160033 47
RedGreenBlue
z18.08
znorm13.90
sky 14.3 14.5 14.7
S/N 7.9 15.5 17.0
S/N(c) 18.6 15.2 7.7
SN(E/C) 0.95
20160034 47
RedGreenBlue
z18.17
znorm13.99
sky 14.7 14.7 14.8
S/N 8.5 15.8 17.6
S/N(c) 19.5 16.0 8.0
SN(E/C) 0.95
20160035 47
RedGreenBlue
z18.16
znorm13.98
sky 14.7 14.7 14.8
S/N 8.5 15.7 17.3
S/N(c) 19.1 15.9 8.0
SN(E/C) 0.98
20160036 47
RedGreenBlue
z18.24
znorm14.06
sky 14.5 14.5 14.4
S/N 8.9 16.4 18.0
S/N(c) 19.9 16.8 8.3
SN(E/C) 0.95