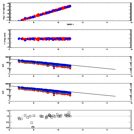
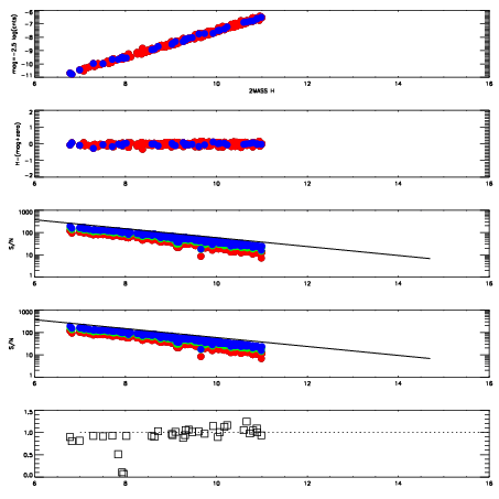
Left plots: red are targets, blue are telluric. Observed mags are calculated from median value of green chip. Zeropoint gives overall throughput: bigger number is more throughput.
First spatial plots: circles are objects, squares are tellurics, crosses are sky fibers. Colors give deviation of observed mag from expected 2MASS mag using the median zeropoint; red is brighter
Second spatial plots: circles are sky fibers. Colors give sky line brightness relative to plate median sky line brightness
FrameNreadsZeropointsMag plots Spatial mag deviation Spatial sky 16325A emission deviations (filled: sky, open: star) Spatial sky continuum emission Spatial sky telluric CO2 absorption deviations (filled: H < 10)
20000031 47
RedGreenBlue
z17.93
znorm13.75
sky 14.6 14.3 14.3
S/N 9.8 15.8 17.9
S/N(c) 15.4 12.0 17.7
SN(E/C) 1.00
20000032 47
RedGreenBlue
z17.53
znorm13.35
sky 14.5 14.4 14.5
S/N 7.6 12.8 14.1
S/N(c) 12.3 9.8 14.3
SN(E/C) 0.96