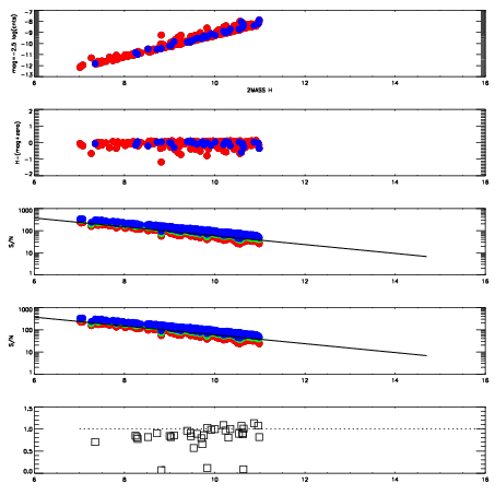
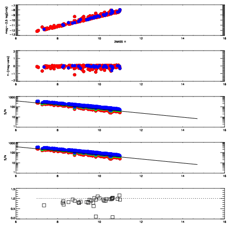
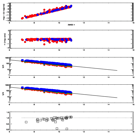
Left plots: red are targets, blue are telluric. Observed mags are calculated from median value of green chip. Zeropoint gives overall throughput: bigger number is more throughput.
First spatial plots: circles are objects, squares are tellurics, crosses are sky fibers. Colors give deviation of observed mag from expected 2MASS mag using the median zeropoint; red is brighter
Second spatial plots: circles are sky fibers. Colors give sky line brightness relative to plate median sky line brightness
FrameNreadsZeropointsMag plots Spatial mag deviation Spatial sky 16325A emission deviations (filled: sky, open: star) Spatial sky continuum emission Spatial sky telluric CO2 absorption deviations (filled: H < 10)
17350015 47
RedGreenBlue
z19.22
znorm15.04
sky 13.9 14.1 14.0
S/N 20.6 29.8 35.3
S/N(c) 25.5 22.9 26.2
SN(E/C) 0.86
17350016 47
RedGreenBlue
z19.18
znorm15.00
sky 14.3 14.3 14.1
S/N 20.1 29.3 34.4
S/N(c) 24.4 22.3 25.5
SN(E/C) 0.92
17350017 47
RedGreenBlue
z19.24
znorm15.06
sky 14.1 14.2 14.1
S/N 20.4 29.3 35.0
S/N(c) 24.9 22.8 26.0
SN(E/C) 0.90
17350018 47
RedGreenBlue
z19.27
znorm15.09
sky 14.2 14.2 14.1
S/N 20.6 29.6 35.2
S/N(c) 25.0 23.0 26.3
SN(E/C) 0.89