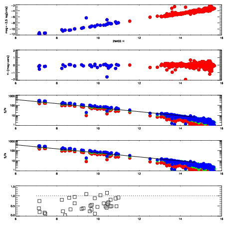
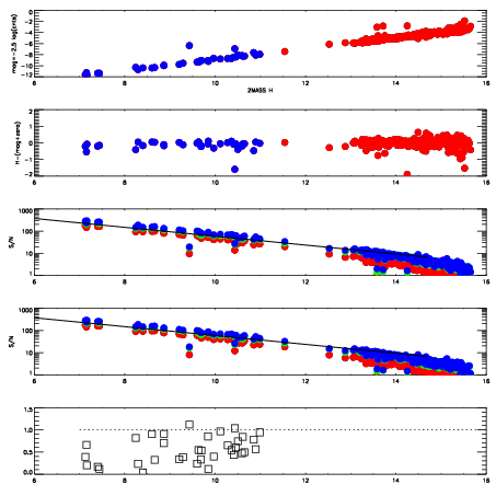
Left plots: red are targets, blue are telluric. Observed mags are calculated from median value of green chip. Zeropoint gives overall throughput: bigger number is more throughput.
First spatial plots: circles are objects, squares are tellurics, crosses are sky fibers. Colors give deviation of observed mag from expected 2MASS mag using the median zeropoint; red is brighter
Second spatial plots: circles are sky fibers. Colors give sky line brightness relative to plate median sky line brightness
FrameNreadsZeropointsMag plots Spatial mag deviation Spatial sky 16325A emission deviations (filled: sky, open: star) Spatial sky continuum emission Spatial sky telluric CO2 absorption deviations (filled: H < 10)
14930020 47
RedGreenBlue
z18.94
znorm14.76
sky 14.8 14.5 14.6
S/N 14.4 20.2 24.7
S/N(c) 4.6 38.2 17.2
SN(E/C) 0.51
14930021 47
RedGreenBlue
z18.96
znorm14.78
sky 14.9 14.8 14.8
S/N 14.6 20.7 25.3
S/N(c) 4.7 38.7 17.4
SN(E/C) 0.53
14930022 47
RedGreenBlue
z18.96
znorm14.78
sky 14.9 14.8 14.9
S/N 14.7 21.0 25.7
S/N(c) 4.7 38.5 17.7
SN(E/C) 0.55
14930023 47
RedGreenBlue
z18.95
znorm14.77
sky 15.1 14.9 14.9
S/N 14.8 20.8 25.4
S/N(c) 4.7 38.5 17.3
SN(E/C) 0.49
14930024 47
RedGreenBlue
z18.94
znorm14.76
sky 15.1 14.9 14.9
S/N 14.8 20.9 25.3
S/N(c) 4.6 38.3 17.2
SN(E/C) 0.54
14930025 47
RedGreenBlue
z18.98
znorm14.80
sky 15.2 14.9 14.9
S/N 15.1 21.6 26.1
S/N(c) 4.7 38.5 17.3
SN(E/C) 0.53