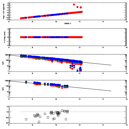
Left plots: red are targets, blue are telluric. Observed mags are calculated from median value of green chip. Zeropoint gives overall throughput: bigger number is more throughput.
First spatial plots: circles are objects, squares are tellurics, crosses are sky fibers. Colors give deviation of observed mag from expected 2MASS mag using the median zeropoint; red is brighter
Second spatial plots: circles are sky fibers. Colors give sky line brightness relative to plate median sky line brightness
FrameNreadsZeropointsMag plots Spatial mag deviation Spatial sky 16325A emission deviations (filled: sky, open: star) Spatial sky continuum emission Spatial sky telluric CO2 absorption deviations (filled: H < 10)
0 0
RedGreenBlue
z17.64
znorm Inf
sky -Inf -Inf -NaN
S/N 24.8 42.8 48.9
S/N(c) 0.0 0.0 0.0
SN(E/C) 0.85

IPAIRNAMESHIFTNEWSHIFTS/N NAMESHIFTNEWSHIFTS/N
0 17290016 0.501226 0.00000 19.0449 17290013 -0.000823479 0.502050 18.9806
1 17290015 0.500583 0.000643015 19.0530 17290017 -0.00102470 0.502251 18.9989
2 17290012 0.500998 0.000227988 18.9922 17290014 -0.000758544 0.501985 18.9776
3 17290011 0.499695 0.00153100 18.9493 17290010 0.00000 0.501226 18.8896