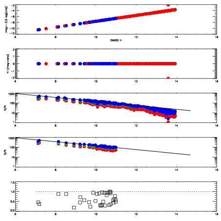
Left plots: red are targets, blue are telluric. Observed mags are calculated from median value of green chip. Zeropoint gives overall throughput: bigger number is more throughput.
First spatial plots: circles are objects, squares are tellurics, crosses are sky fibers. Colors give deviation of observed mag from expected 2MASS mag using the median zeropoint; red is brighter
Second spatial plots: circles are sky fibers. Colors give sky line brightness relative to plate median sky line brightness
FrameNreadsZeropointsMag plots Spatial mag deviation Spatial sky 16325A emission deviations (filled: sky, open: star) Spatial sky continuum emission Spatial sky telluric CO2 absorption deviations (filled: H < 10)
0 0
RedGreenBlue
z17.64
znorm Inf
sky -Inf -Inf -NaN
S/N 23.4 46.0 47.1
S/N(c) 0.0 0.0 0.0
SN(E/C) 0.56

IPAIRNAMESHIFTNEWSHIFTS/N NAMESHIFTNEWSHIFTS/N
0 14600070 0.497262 0.00000 18.4818 14600068 0.00125391 0.496008 18.5240
1 14600066 0.496511 0.000750989 18.8219 14600075 0.000162269 0.497100 18.6436
2 14600074 0.496205 0.00105700 18.4386 14600067 0.00108647 0.496176 18.5013
3 14600073 0.495811 0.00145102 18.3059 14600071 -0.000417722 0.497680 18.4616
4 14600069 0.496923 0.000339001 18.2664 14600064 0.00000 0.497262 18.2736
5 14600065 0.496281 0.000981003 18.2418 14600072 -0.000300345 0.497562 18.2637