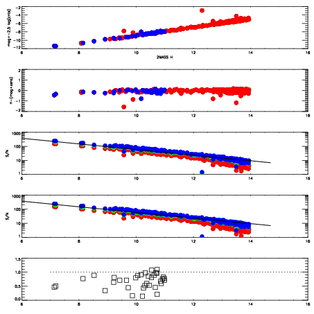
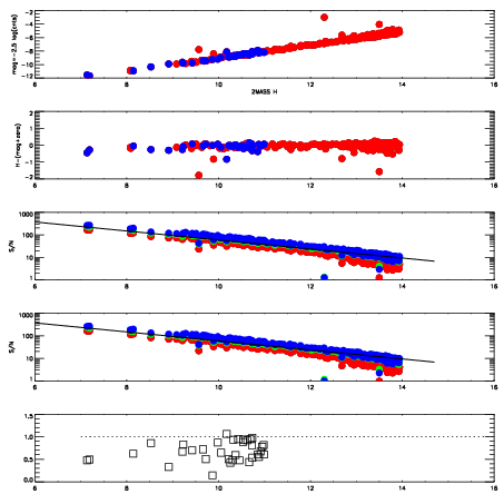
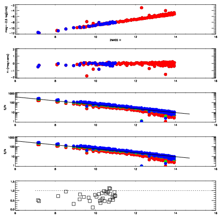
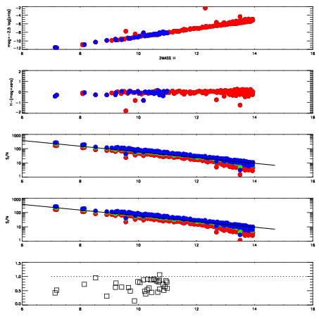
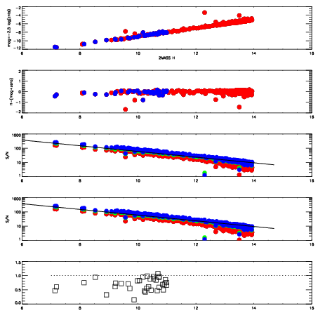
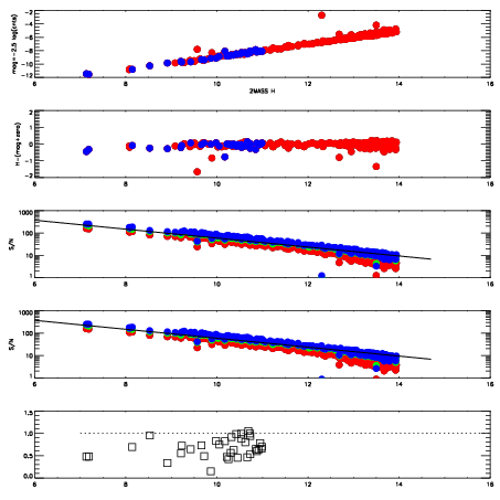
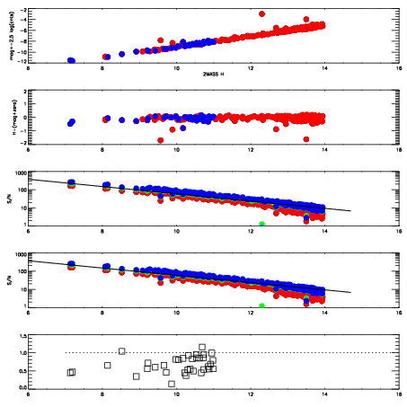
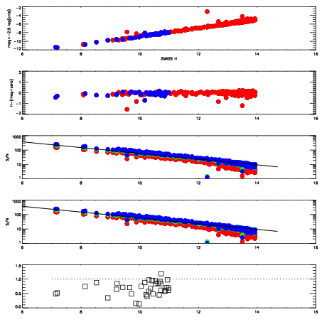
Frame | Nreads | Zeropoints | Mag plots
| Spatial mag deviation
| Spatial sky 16325A emission deviations (filled: sky, open: star)
| Spatial sky continuum emission
| Spatial sky telluric CO2 absorption deviations (filled: H < 10)
|
14980037
| 47
| | Red | Green | Blue
| z | | 19.08
| znorm | | 14.90
| sky | 15.2 | 14.7 | 15.2
| S/N | 16.4 | 26.6 | 29.4
| S/N(c) | 16.6 | 27.4 | 33.7
| SN(E/C) | 0.63
|
|
|
|
|
|
|
14980038
| 47
| | Red | Green | Blue
| z | | 19.12
| znorm | | 14.94
| sky | 15.3 | 15.0 | 15.4
| S/N | 16.7 | 27.3 | 29.6
| S/N(c) | 16.5 | 27.2 | 33.5
| SN(E/C) | 0.67
|
|
|
|
|
|
|
14980039
| 47
| | Red | Green | Blue
| z | | 19.04
| znorm | | 14.86
| sky | 15.2 | 15.2 | 15.6
| S/N | 16.1 | 26.3 | 28.5
| S/N(c) | 15.9 | 26.0 | 32.3
| SN(E/C) | 0.70
|
|
|
|
|
|
|
14980040
| 47
| | Red | Green | Blue
| z | | 19.03
| znorm | | 14.85
| sky | 15.2 | 15.1 | 15.6
| S/N | 15.9 | 26.3 | 28.6
| S/N(c) | 15.9 | 26.2 | 32.2
| SN(E/C) | 0.71
|
|
|
|
|
|
|
14980041
| 47
| | Red | Green | Blue
| z | | 19.03
| znorm | | 14.85
| sky | 15.3 | 15.3 | 15.6
| S/N | 15.8 | 25.8 | 28.2
| S/N(c) | 16.0 | 26.1 | 31.9
| SN(E/C) | 0.66
|
|
|
|
|
|
|
14980042
| 47
| | Red | Green | Blue
| z | | 18.95
| znorm | | 14.77
| sky | 15.3 | 15.3 | 15.5
| S/N | 15.0 | 24.9 | 27.0
| S/N(c) | 15.2 | 25.0 | 30.7
| SN(E/C) | 0.69
|
|
|
|
|
|
|
14980043
| 47
| | Red | Green | Blue
| z | | 19.10
| znorm | | 14.92
| sky | 15.6 | 15.3 | 15.6
| S/N | 16.4 | 26.8 | 29.4
| S/N(c) | 16.7 | 26.8 | 32.7
| SN(E/C) | 0.65
|
|
|
|
|
|
|
14980044
| 47
| | Red | Green | Blue
| z | | 18.94
| znorm | | 14.76
| sky | 15.5 | 15.2 | 15.3
| S/N | 14.4 | 24.6 | 26.9
| S/N(c) | 15.4 | 25.0 | 30.5
| SN(E/C) | 0.71
|
|
|
|
|
|
|