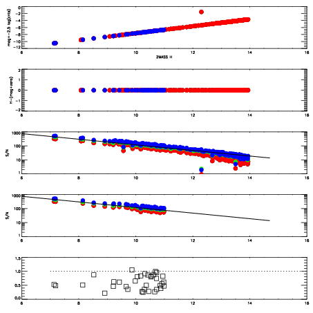
Left plots: red are targets, blue are telluric. Observed mags are calculated from median value of green chip. Zeropoint gives overall throughput: bigger number is more throughput.
First spatial plots: circles are objects, squares are tellurics, crosses are sky fibers. Colors give deviation of observed mag from expected 2MASS mag using the median zeropoint; red is brighter
Second spatial plots: circles are sky fibers. Colors give sky line brightness relative to plate median sky line brightness
FrameNreadsZeropointsMag plots Spatial mag deviation Spatial sky 16325A emission deviations (filled: sky, open: star) Spatial sky continuum emission Spatial sky telluric CO2 absorption deviations (filled: H < 10)
0 0
RedGreenBlue
z17.64
znorm Inf
sky -Inf -Inf -Inf
S/N 28.5 49.2 54.3
S/N(c) 0.0 0.0 0.0
SN(E/C) 0.55

IPAIRNAMESHIFTNEWSHIFTS/N NAMESHIFTNEWSHIFTS/N
0 14980039 0.501213 0.00000 19.0191 14980041 0.00125019 0.499963 19.0037
1 14980038 0.499854 0.00135902 19.1019 14980037 0.00000 0.501213 19.0738
2 14980043 0.500374 0.000838995 19.0781 14980040 0.00134242 0.499871 19.0122
3 14980042 0.500190 0.00102299 18.9233 14980044 0.00163204 0.499581 18.9232