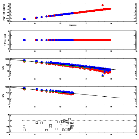
Left plots: red are targets, blue are telluric. Observed mags are calculated from median value of green chip. Zeropoint gives overall throughput: bigger number is more throughput.
First spatial plots: circles are objects, squares are tellurics, crosses are sky fibers. Colors give deviation of observed mag from expected 2MASS mag using the median zeropoint; red is brighter
Second spatial plots: circles are sky fibers. Colors give sky line brightness relative to plate median sky line brightness
FrameNreadsZeropointsMag plots Spatial mag deviation Spatial sky 16325A emission deviations (filled: sky, open: star) Spatial sky continuum emission Spatial sky telluric CO2 absorption deviations (filled: H < 10)
0 0
RedGreenBlue
z17.64
znorm Inf
sky -Inf -NaN -Inf
S/N 28.7 47.9 55.7
S/N(c) 0.0 0.0 0.0
SN(E/C) 0.63

IPAIRNAMESHIFTNEWSHIFTS/N NAMESHIFTNEWSHIFTS/N
0 15570013 0.490824 0.00000 19.0787 15570014 -0.000352028 0.491176 19.1030
1 15570016 0.488792 0.00203201 19.0471 15570015 -0.000755465 0.491579 19.0790
2 15570012 0.490572 0.000252008 19.0350 15570011 0.00000 0.490824 19.0604
3 15570017 0.489134 0.00169000 18.8853 15570018 -0.000493278 0.491317 18.9542