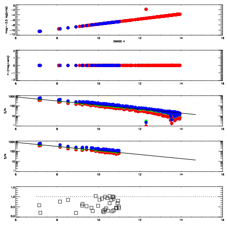
Left plots: red are targets, blue are telluric. Observed mags are calculated from median value of green chip. Zeropoint gives overall throughput: bigger number is more throughput.
First spatial plots: circles are objects, squares are tellurics, crosses are sky fibers. Colors give deviation of observed mag from expected 2MASS mag using the median zeropoint; red is brighter
Second spatial plots: circles are sky fibers. Colors give sky line brightness relative to plate median sky line brightness
FrameNreadsZeropointsMag plots Spatial mag deviation Spatial sky 16325A emission deviations (filled: sky, open: star) Spatial sky continuum emission Spatial sky telluric CO2 absorption deviations (filled: H < 10)
0 0
RedGreenBlue
z17.64
znorm Inf
sky -Inf -Inf -NaN
S/N 31.5 53.7 58.8
S/N(c) 0.0 0.0 0.0
SN(E/C) 0.56

IPAIRNAMESHIFTNEWSHIFTS/N NAMESHIFTNEWSHIFTS/N
0 17880098 0.496928 0.00000 19.0426 17880099 -0.00298553 0.499914 19.0861
1 17880101 0.495866 0.00106201 19.1563 17880103 -0.00811124 0.505039 19.1745
2 17880102 0.496424 0.000504017 19.1552 17880100 -0.00297355 0.499902 19.1624
3 17880097 0.496751 0.000176996 19.1045 17880096 0.00000 0.496928 19.1353