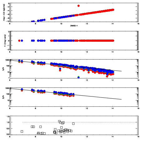
Left plots: red are targets, blue are telluric. Observed mags are calculated from median value of green chip. Zeropoint gives overall throughput: bigger number is more throughput.
First spatial plots: circles are objects, squares are tellurics, crosses are sky fibers. Colors give deviation of observed mag from expected 2MASS mag using the median zeropoint; red is brighter
Second spatial plots: circles are sky fibers. Colors give sky line brightness relative to plate median sky line brightness
FrameNreadsZeropointsMag plots Spatial mag deviation Spatial sky 16325A emission deviations (filled: sky, open: star) Spatial sky continuum emission Spatial sky telluric CO2 absorption deviations (filled: H < 10)
0 0
RedGreenBlue
z17.64
znorm Inf
sky -NaN -Inf -NaN
S/N 21.3 37.8 42.3
S/N(c) 0.0 0.0 0.0
SN(E/C) 0.32

IPAIRNAMESHIFTNEWSHIFTS/N NAMESHIFTNEWSHIFTS/N
0 14960065 0.498723 0.00000 18.9484 14960062 0.00116523 0.497558 18.9758
1 14960061 0.498588 0.000135005 18.9666 14960066 -0.00170086 0.500424 19.0493
2 14960060 0.497408 0.00131500 18.9134 14960059 0.00000 0.498723 18.9477
3 14960064 0.498030 0.000692993 18.7190 14960063 0.00113334 0.497590 18.9417