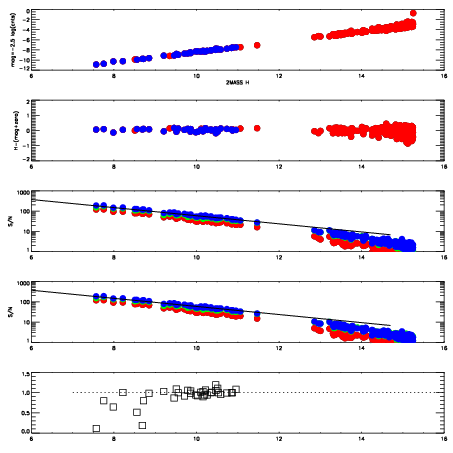
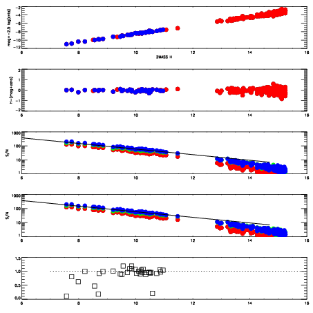
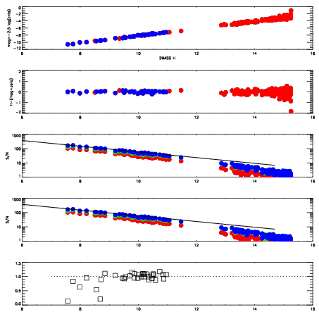
Frame | Nreads | Zeropoints | Mag plots
| Spatial mag deviation
| Spatial sky 16325A emission deviations (filled: sky, open: star)
| Spatial sky continuum emission
| Spatial sky telluric CO2 absorption deviations (filled: H < 10)
|
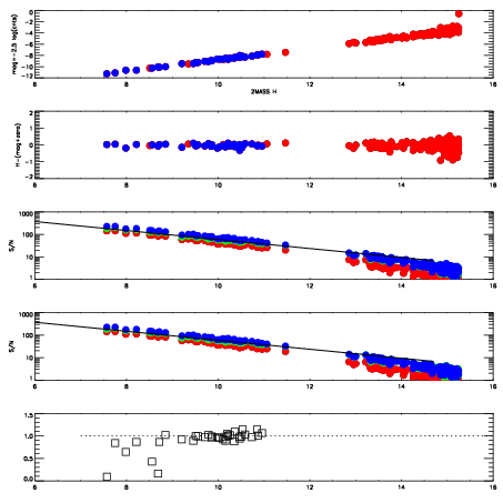
14870022
| 47
| | Red | Green | Blue
| z | | 18.32
| znorm | | 14.14
| sky | 14.5 | 14.4 | 14.5
| S/N | 10.8 | 18.0 | 18.7
| S/N(c) | 13.8 | 19.1 | 28.5
| SN(E/C) | 0.95
|
|
|
|
|
|
|
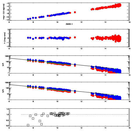
14870023
| 47
| | Red | Green | Blue
| z | | 18.69
| znorm | | 14.51
| sky | 15.0 | 14.7 | 14.9
| S/N | 14.0 | 22.1 | 23.3
| S/N(c) | 17.2 | 23.1 | 34.5
| SN(E/C) | 0.97
|
|
|
|
|
|
|
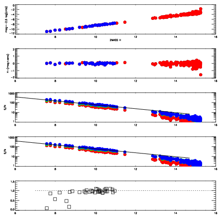
14870024
| 47
| | Red | Green | Blue
| z | | 18.80
| znorm | | 14.62
| sky | 14.9 | 14.7 | 15.0
| S/N | 14.4 | 23.0 | 24.2
| S/N(c) | 17.9 | 24.1 | 35.9
| SN(E/C) | 0.97
|
|
|
|
|
|
|
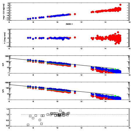
14870025
| 47
| | Red | Green | Blue
| z | | 18.53
| znorm | | 14.35
| sky | 14.7 | 14.9 | 14.9
| S/N | 12.3 | 20.0 | 20.8
| S/N(c) | 15.4 | 21.1 | 31.3
| SN(E/C) | 0.96
|
|
|
|
|
|
|
14870026
| 47
| | Red | Green | Blue
| z | | 18.36
| znorm | | 14.18
| sky | 14.8 | 14.9 | 15.1
| S/N | 10.8 | 18.0 | 18.5
| S/N(c) | 13.7 | 19.1 | 28.4
| SN(E/C) | 0.99
|
|
|
|
|
|
|
14870027
| 47
| | Red | Green | Blue
| z | | 18.38
| znorm | | 14.20
| sky | 15.2 | 14.9 | 15.1
| S/N | 11.5 | 18.9 | 19.7
| S/N(c) | 14.8 | 20.2 | 30.2
| SN(E/C) | 0.99
|
|
|
|
|
|
|
14870028
| 47
| | Red | Green | Blue
| z | | 18.52
| znorm | | 14.34
| sky | 15.3 | 15.0 | 15.0
| S/N | 12.3 | 20.0 | 20.9
| S/N(c) | 15.6 | 21.1 | 31.9
| SN(E/C) | 0.96
|
|
|
|
|
|
|
14870029
| 47
| | Red | Green | Blue
| z | | 18.15
| znorm | | 13.97
| sky | 14.6 | 14.7 | 14.9
| S/N | 9.7 | 16.6 | 17.1
| S/N(c) | 12.6 | 17.7 | 26.3
| SN(E/C) | 0.99
|
|
|
|
|
|
|