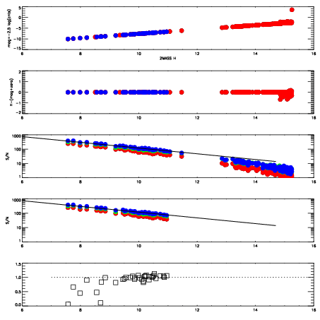
Left plots: red are targets, blue are telluric. Observed mags are calculated from median value of green chip. Zeropoint gives overall throughput: bigger number is more throughput.
First spatial plots: circles are objects, squares are tellurics, crosses are sky fibers. Colors give deviation of observed mag from expected 2MASS mag using the median zeropoint; red is brighter
Second spatial plots: circles are sky fibers. Colors give sky line brightness relative to plate median sky line brightness
FrameNreadsZeropointsMag plots Spatial mag deviation Spatial sky 16325A emission deviations (filled: sky, open: star) Spatial sky continuum emission Spatial sky telluric CO2 absorption deviations (filled: H < 10)
0 0
RedGreenBlue
z17.64
znorm Inf
sky -Inf -NaN -Inf
S/N 22.2 37.0 38.8
S/N(c) 27.7 38.0 56.7
SN(E/C) 0.98

IPAIRNAMESHIFTNEWSHIFTS/N NAMESHIFTNEWSHIFTS/N
0 14870028 0.500021 0.00000 18.5196 14870022 0.00000 0.500021 18.3128
1 14870024 0.500011 9.95398e-06 18.7734 14870025 2.11314e-05 0.500000 18.4997
2 14870023 0.499459 0.000561982 18.6849 14870026 -0.000498616 0.500520 18.3342
3 14870027 0.499978 4.29749e-05 18.4103 14870029 -0.000499641 0.500521 18.1419