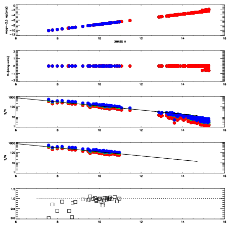
Left plots: red are targets, blue are telluric. Observed mags are calculated from median value of green chip. Zeropoint gives overall throughput: bigger number is more throughput.
First spatial plots: circles are objects, squares are tellurics, crosses are sky fibers. Colors give deviation of observed mag from expected 2MASS mag using the median zeropoint; red is brighter
Second spatial plots: circles are sky fibers. Colors give sky line brightness relative to plate median sky line brightness
FrameNreadsZeropointsMag plots Spatial mag deviation Spatial sky 16325A emission deviations (filled: sky, open: star) Spatial sky continuum emission Spatial sky telluric CO2 absorption deviations (filled: H < 10)
0 0
RedGreenBlue
z17.64
znorm Inf
sky -Inf -NaN -NaN
S/N 32.2 51.3 54.0
S/N(c) 33.2 55.9 0.5
SN(E/C) 0.95

IPAIRNAMESHIFTNEWSHIFTS/N NAMESHIFTNEWSHIFTS/N
0 14940032 0.501844 0.00000 19.0767 14940033 0.00125639 0.500588 19.0783
1 14940031 0.500682 0.00116199 19.0722 14940029 0.000441865 0.501402 18.9939
2 14940027 0.499135 0.00270900 18.9349 14940030 -0.000448393 0.502292 18.9820
3 14940028 0.499984 0.00185999 18.9320 14940026 0.00000 0.501844 18.9490