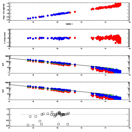
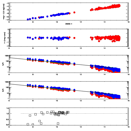
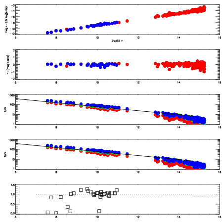
Frame | Nreads | Zeropoints | Mag plots
| Spatial mag deviation
| Spatial sky 16325A emission deviations (filled: sky, open: star)
| Spatial sky continuum emission
| Spatial sky telluric CO2 absorption deviations (filled: H < 10)
|
14970025
| 47
| | Red | Green | Blue
| z | | 18.55
| znorm | | 14.37
| sky | 15.1 | 14.6 | 15.1
| S/N | 14.0 | 21.6 | 22.7
| S/N(c) | 15.7 | 20.7 | 32.0
| SN(E/C) | 0.99
|
|
|
|
|
|
|
14970026
| 47
| | Red | Green | Blue
| z | | 18.84
| znorm | | 14.66
| sky | 15.0 | 14.8 | 15.2
| S/N | 16.4 | 25.2 | 26.4
| S/N(c) | 17.9 | 23.7 | 36.4
| SN(E/C) | 0.98
|
|
|
|
|
|
|
14970027
| 47
| | Red | Green | Blue
| z | | 18.90
| znorm | | 14.72
| sky | 15.2 | 14.9 | 15.0
| S/N | 17.0 | 26.0 | 27.1
| S/N(c) | 19.2 | 24.5 | 38.8
| SN(E/C) | 0.98
|
|
|
|
|
|
|
14970028
| 47
| | Red | Green | Blue
| z | | 19.05
| znorm | | 14.87
| sky | 15.2 | 15.1 | 15.0
| S/N | 17.9 | 27.1 | 28.3
| S/N(c) | 19.8 | 25.8 | 40.2
| SN(E/C) | 0.99
|
|
|
|
|
|
|
14970029
| 47
| | Red | Green | Blue
| z | | 19.03
| znorm | | 14.85
| sky | 15.1 | 15.2 | 15.4
| S/N | 17.5 | 26.6 | 27.8
| S/N(c) | 19.0 | 25.1 | 38.9
| SN(E/C) | 1.02
|
|
|
|
|
|
|
14970030
| 47
| | Red | Green | Blue
| z | | 18.90
| znorm | | 14.72
| sky | 15.1 | 14.9 | 15.4
| S/N | 16.4 | 25.4 | 26.7
| S/N(c) | 18.0 | 23.9 | 37.6
| SN(E/C) | 0.97
|
|
|
|
|
|
|
14970031
| 47
| | Red | Green | Blue
| z | | 18.88
| znorm | | 14.70
| sky | 15.3 | 15.2 | 15.2
| S/N | 16.4 | 25.4 | 26.5
| S/N(c) | 18.5 | 24.4 | 37.4
| SN(E/C) | 1.02
|
|
|
|
|
|
|
14970032
| 47
| | Red | Green | Blue
| z | | 18.95
| znorm | | 14.77
| sky | 15.0 | 15.0 | 15.2
| S/N | 17.8 | 27.1 | 28.5
| S/N(c) | 19.2 | 25.4 | 39.3
| SN(E/C) | 1.00
|
|
|
|
|
|
|