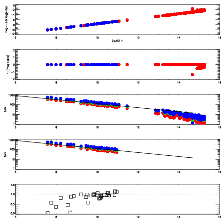
Left plots: red are targets, blue are telluric. Observed mags are calculated from median value of green chip. Zeropoint gives overall throughput: bigger number is more throughput.
First spatial plots: circles are objects, squares are tellurics, crosses are sky fibers. Colors give deviation of observed mag from expected 2MASS mag using the median zeropoint; red is brighter
Second spatial plots: circles are sky fibers. Colors give sky line brightness relative to plate median sky line brightness
FrameNreadsZeropointsMag plots Spatial mag deviation Spatial sky 16325A emission deviations (filled: sky, open: star) Spatial sky continuum emission Spatial sky telluric CO2 absorption deviations (filled: H < 10)
0 0
RedGreenBlue
z17.65
znorm Inf
sky -Inf -Inf -Inf
S/N 29.6 42.9 49.4
S/N(c) 36.3 47.3 75.9
SN(E/C) 0.93

IPAIRNAMESHIFTNEWSHIFTS/N NAMESHIFTNEWSHIFTS/N
0 15190017 0.511083 0.00000 18.6898 15190018 0.000491887 0.510591 18.5779
1 15190012 0.509280 0.00180298 19.0160 15190014 0.00120041 0.509883 19.0255
2 15190013 0.509671 0.00141203 18.9913 15190015 0.00106694 0.510016 19.0062
3 15190016 0.509965 0.00111800 18.8333 15190011 0.00000 0.511083 18.9854