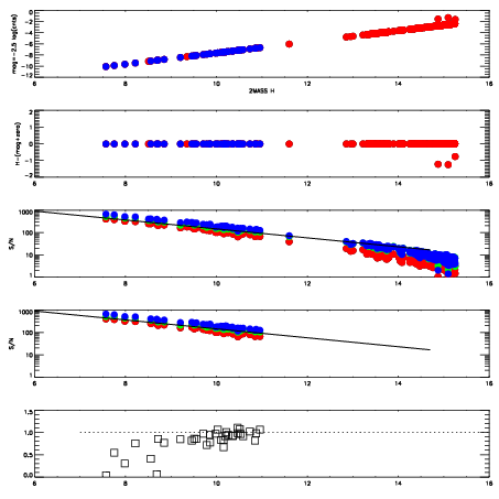
Left plots: red are targets, blue are telluric. Observed mags are calculated from median value of green chip. Zeropoint gives overall throughput: bigger number is more throughput.
First spatial plots: circles are objects, squares are tellurics, crosses are sky fibers. Colors give deviation of observed mag from expected 2MASS mag using the median zeropoint; red is brighter
Second spatial plots: circles are sky fibers. Colors give sky line brightness relative to plate median sky line brightness
FrameNreadsZeropointsMag plots Spatial mag deviation Spatial sky 16325A emission deviations (filled: sky, open: star) Spatial sky continuum emission Spatial sky telluric CO2 absorption deviations (filled: H < 10)
0 0
RedGreenBlue
z17.65
znorm Inf
sky -Inf -Inf -Inf
S/N 29.4 49.6 54.7
S/N(c) 41.5 69.8 98.8
SN(E/C) 0.86

IPAIRNAMESHIFTNEWSHIFTS/N NAMESHIFTNEWSHIFTS/N
0 17970040 0.507371 0.00000 19.0579 17970034 0.00000 0.507371 19.1390
1 17970036 0.506967 0.000404000 19.0535 17970037 0.00192409 0.505447 19.0531
2 17970035 0.506905 0.000465989 19.0439 17970038 0.00210490 0.505266 19.0190
3 17970039 0.507170 0.000200987 19.0178 17970041 0.00219293 0.505178 18.9815
4 17970043 0.506012 0.00135899 18.9392 17970042 0.00259513 0.504776 18.9082
5 17970044 0.506715 0.000656009 18.8467 17970045 0.00107640 0.506295 18.6598