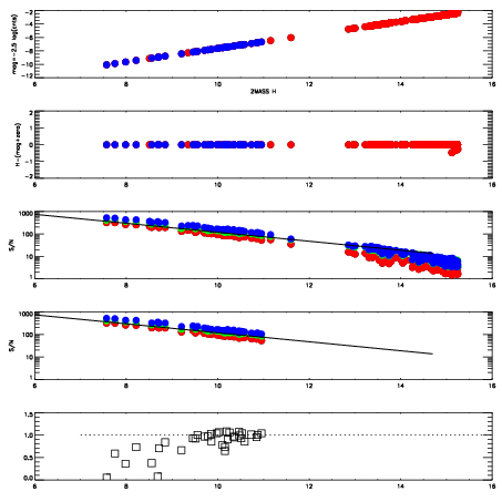
Left plots: red are targets, blue are telluric. Observed mags are calculated from median value of green chip. Zeropoint gives overall throughput: bigger number is more throughput.
First spatial plots: circles are objects, squares are tellurics, crosses are sky fibers. Colors give deviation of observed mag from expected 2MASS mag using the median zeropoint; red is brighter
Second spatial plots: circles are sky fibers. Colors give sky line brightness relative to plate median sky line brightness
FrameNreadsZeropointsMag plots Spatial mag deviation Spatial sky 16325A emission deviations (filled: sky, open: star) Spatial sky continuum emission Spatial sky telluric CO2 absorption deviations (filled: H < 10)
0 0
RedGreenBlue
z17.64
znorm Inf
sky -Inf -Inf -Inf
S/N 26.4 41.7 45.3
S/N(c) 40.8 53.1 28.6
SN(E/C) 0.93

IPAIRNAMESHIFTNEWSHIFTS/N NAMESHIFTNEWSHIFTS/N
0 18550018 0.492810 0.00000 18.9286 18550019 0.00287549 0.489935 18.8914
1 18550014 0.490836 0.00197402 19.0868 18550012 0.00000 0.492810 19.1258
2 18550013 0.490464 0.00234601 19.0623 18550015 0.00132641 0.491484 19.0367
3 18550017 0.492499 0.000311017 18.9681 18550016 0.000855525 0.491954 18.9887