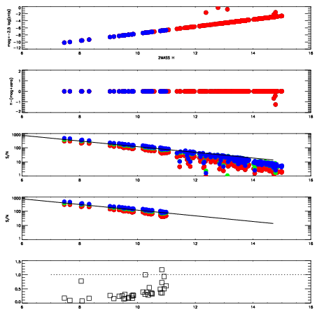
Left plots: red are targets, blue are telluric. Observed mags are calculated from median value of green chip. Zeropoint gives overall throughput: bigger number is more throughput.
First spatial plots: circles are objects, squares are tellurics, crosses are sky fibers. Colors give deviation of observed mag from expected 2MASS mag using the median zeropoint; red is brighter
Second spatial plots: circles are sky fibers. Colors give sky line brightness relative to plate median sky line brightness
FrameNreadsZeropointsMag plots Spatial mag deviation Spatial sky 16325A emission deviations (filled: sky, open: star) Spatial sky continuum emission Spatial sky telluric CO2 absorption deviations (filled: H < 10)
0 0
RedGreenBlue
z17.64
znorm Inf
sky -Inf -Inf -NaN
S/N 19.8 34.2 38.8
S/N(c) 11.9 23.9 64.1
SN(E/C) 0.31

IPAIRNAMESHIFTNEWSHIFTS/N NAMESHIFTNEWSHIFTS/N
0 14940062 0.499546 0.00000 18.7294 14940063 -0.00124722 0.500793 18.6810
1 14940065 0.499298 0.000247985 18.7808 14940067 -0.00199737 0.501543 18.7775
2 14940066 0.498875 0.000670999 18.6857 14940060 0.00000 0.499546 18.6273
3 14940061 0.498679 0.000866979 18.5865 14940064 -0.00172174 0.501268 18.5834