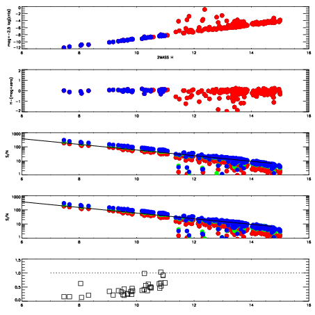
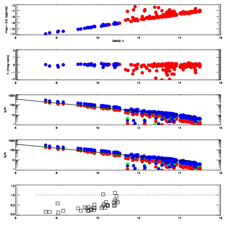
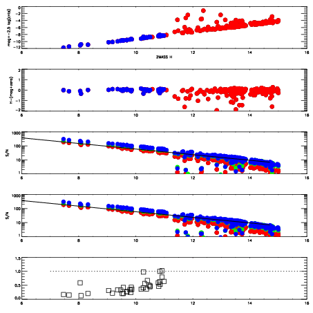
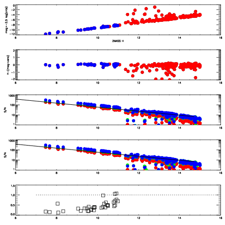
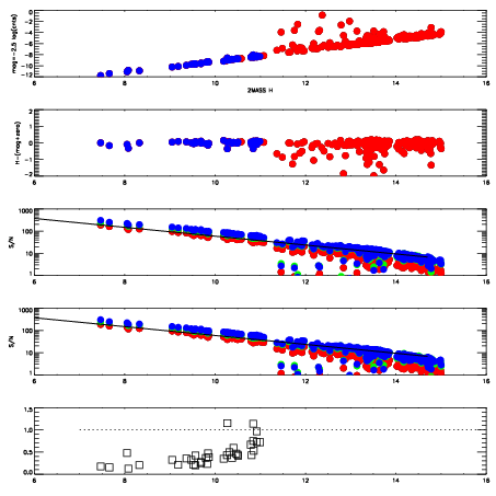
Frame | Nreads | Zeropoints | Mag plots
| Spatial mag deviation
| Spatial sky 16325A emission deviations (filled: sky, open: star)
| Spatial sky continuum emission
| Spatial sky telluric CO2 absorption deviations (filled: H < 10)
|
15010020
| 47
| | Red | Green | Blue
| z | | 19.14
| znorm | | 14.96
| sky | 15.1 | 14.7 | 15.2
| S/N | 12.1 | 20.6 | 22.6
| S/N(c) | 9.3 | 17.8 | 46.6
| SN(E/C) | 0.41
|
|
|
|
|
|
|
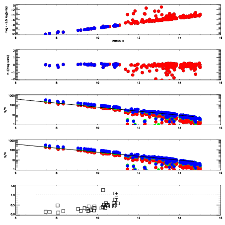
15010021
| 47
| | Red | Green | Blue
| z | | 19.14
| znorm | | 14.96
| sky | 15.4 | 15.1 | 15.3
| S/N | 11.7 | 20.0 | 22.2
| S/N(c) | 9.3 | 17.7 | 46.5
| SN(E/C) | 0.40
|
|
|
|
|
|
|
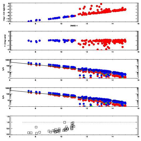
15010022
| 47
| | Red | Green | Blue
| z | | 19.15
| znorm | | 14.97
| sky | 15.2 | 15.0 | 15.1
| S/N | 11.8 | 19.7 | 22.3
| S/N(c) | 9.4 | 18.0 | 47.2
| SN(E/C) | 0.41
|
|
|
|
|
|
|
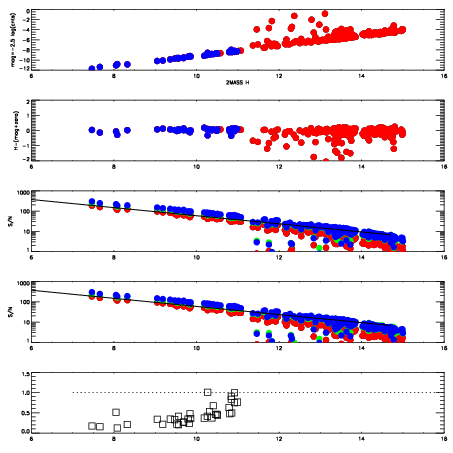
15010023
| 47
| | Red | Green | Blue
| z | | 19.21
| znorm | | 15.03
| sky | 15.2 | 15.3 | 15.4
| S/N | 12.5 | 20.3 | 23.7
| S/N(c) | 9.7 | 18.2 | 48.6
| SN(E/C) | 0.41
|
|
|
|
|
|
|
15010024
| 47
| | Red | Green | Blue
| z | | 19.20
| znorm | | 15.02
| sky | 15.3 | 15.2 | 15.3
| S/N | 11.8 | 19.8 | 22.8
| S/N(c) | 9.7 | 18.0 | 49.3
| SN(E/C) | 0.41
|
|
|
|
|
|
|
15010025
| 47
| | Red | Green | Blue
| z | | 19.17
| znorm | | 14.99
| sky | 15.2 | 15.2 | 15.2
| S/N | 11.9 | 19.5 | 22.1
| S/N(c) | 9.6 | 17.7 | 48.4
| SN(E/C) | 0.40
|
|
|
|
|
|
|
15010026
| 47
| | Red | Green | Blue
| z | | 19.21
| znorm | | 15.03
| sky | 15.5 | 15.2 | 15.2
| S/N | 12.5 | 21.0 | 23.1
| S/N(c) | 9.6 | 18.2 | 48.4
| SN(E/C) | 0.40
|
|
|
|
|
|
|
15010027
| 47
| | Red | Green | Blue
| z | | 19.21
| znorm | | 15.03
| sky | 15.5 | 15.1 | 15.3
| S/N | 11.9 | 19.7 | 21.7
| S/N(c) | 9.7 | 18.0 | 48.8
| SN(E/C) | 0.41
|
|
|
|
|
|
|