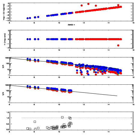
Left plots: red are targets, blue are telluric. Observed mags are calculated from median value of green chip. Zeropoint gives overall throughput: bigger number is more throughput.
First spatial plots: circles are objects, squares are tellurics, crosses are sky fibers. Colors give deviation of observed mag from expected 2MASS mag using the median zeropoint; red is brighter
Second spatial plots: circles are sky fibers. Colors give sky line brightness relative to plate median sky line brightness
FrameNreadsZeropointsMag plots Spatial mag deviation Spatial sky 16325A emission deviations (filled: sky, open: star) Spatial sky continuum emission Spatial sky telluric CO2 absorption deviations (filled: H < 10)
0 0
RedGreenBlue
z17.63
znorm Inf
sky -Inf -NaN -NaN
S/N 20.1 33.4 38.8
S/N(c) 15.9 30.9 83.4
SN(E/C) 0.25

IPAIRNAMESHIFTNEWSHIFTS/N NAMESHIFTNEWSHIFTS/N
0 15020013 0.501639 0.00000 19.0379 15020015 -0.00180377 0.503443 19.0768
1 15020016 0.499897 0.00174201 19.0330 15020014 -0.000794717 0.502434 19.0689
2 15020012 0.500950 0.000689030 19.0207 15020011 0.00000 0.501639 19.0522
3 15020017 0.500461 0.00117803 18.9001 15020018 0.00456568 0.497073 18.9464