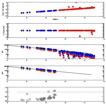
Left plots: red are targets, blue are telluric. Observed mags are calculated from median value of green chip. Zeropoint gives overall throughput: bigger number is more throughput.
First spatial plots: circles are objects, squares are tellurics, crosses are sky fibers. Colors give deviation of observed mag from expected 2MASS mag using the median zeropoint; red is brighter
Second spatial plots: circles are sky fibers. Colors give sky line brightness relative to plate median sky line brightness
FrameNreadsZeropointsMag plots Spatial mag deviation Spatial sky 16325A emission deviations (filled: sky, open: star) Spatial sky continuum emission Spatial sky telluric CO2 absorption deviations (filled: H < 10)
0 0
RedGreenBlue
z17.64
znorm Inf
sky -Inf -Inf -NaN
S/N 17.9 30.8 35.5
S/N(c) 35.7 23.9 22.5
SN(E/C) 0.33

IPAIRNAMESHIFTNEWSHIFTS/N NAMESHIFTNEWSHIFTS/N
0 15250043 0.511969 0.00000 18.5687 15250037 0.00000 0.511969 18.5594
1 15250042 0.511428 0.000540972 18.8164 15250041 0.000827147 0.511142 18.7570
2 15250038 0.509533 0.00243598 18.6627 15250044 0.00102598 0.510943 18.6752
3 15250039 0.510808 0.00116098 18.4565 15250040 0.000700619 0.511268 18.5170