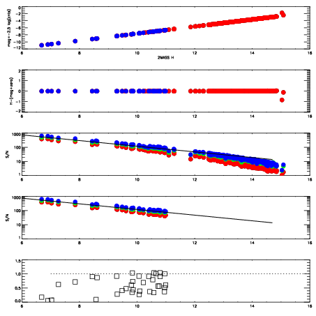
Left plots: red are targets, blue are telluric. Observed mags are calculated from median value of green chip. Zeropoint gives overall throughput: bigger number is more throughput.
First spatial plots: circles are objects, squares are tellurics, crosses are sky fibers. Colors give deviation of observed mag from expected 2MASS mag using the median zeropoint; red is brighter
Second spatial plots: circles are sky fibers. Colors give sky line brightness relative to plate median sky line brightness
FrameNreadsZeropointsMag plots Spatial mag deviation Spatial sky 16325A emission deviations (filled: sky, open: star) Spatial sky continuum emission Spatial sky telluric CO2 absorption deviations (filled: H < 10)
0 0
RedGreenBlue
z17.65
znorm Inf
sky -Inf -Inf -NaN
S/N 23.9 44.4 49.8
S/N(c) 27.5 15.1 43.5
SN(E/C) 0.60

IPAIRNAMESHIFTNEWSHIFTS/N NAMESHIFTNEWSHIFTS/N
0 19970052 0.00000 0.00000 18.6790 19970057 -0.500163 0.500163 18.7276
1 19970059 -0.00681014 0.00681014 18.8235 19970058 -0.500861 0.500861 18.7929
2 19970055 -0.00418618 0.00418618 18.6492 19970054 -0.495581 0.495581 18.6336
3 19970056 -0.00395088 0.00395088 18.6370 19970053 -0.495367 0.495367 18.6021