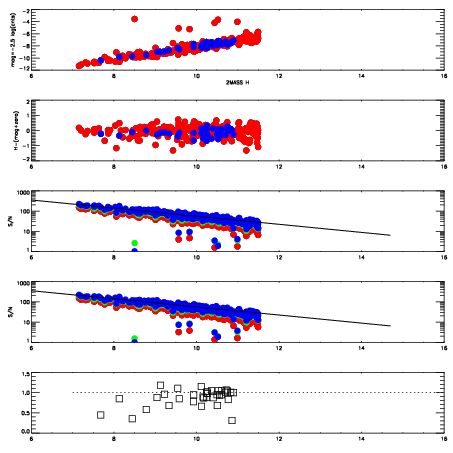
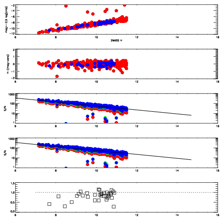
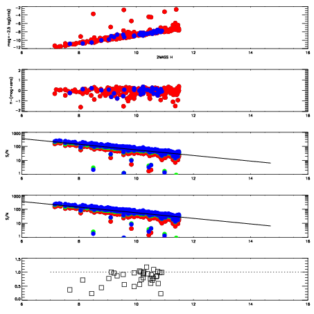
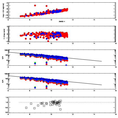
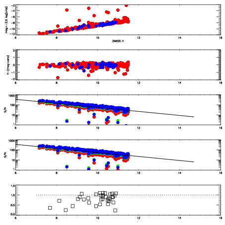
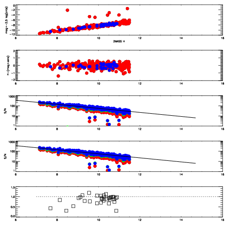
Frame | Nreads | Zeropoints | Mag plots
| Spatial mag deviation
| Spatial sky 16325A emission deviations (filled: sky, open: star)
| Spatial sky continuum emission
| Spatial sky telluric CO2 absorption deviations (filled: H < 10)
|
13940026
| 42
| | Red | Green | Blue
| z | | 18.33
| znorm | | 14.27
| sky | 14.8 | 14.4 | 14.8
| S/N | 10.1 | 16.8 | 18.5
| S/N(c) | 8.6 | 11.2 | 4.6
| SN(E/C) | 0.90
|
|
|
|
|
|
|
13940027
| 42
| | Red | Green | Blue
| z | | 18.28
| znorm | | 14.22
| sky | 14.9 | 14.8 | 15.0
| S/N | 9.3 | 15.7 | 17.5
| S/N(c) | 8.2 | 11.0 | 4.5
| SN(E/C) | 0.94
|
|
|
|
|
|
|
13940028
| 42
| | Red | Green | Blue
| z | | 18.05
| znorm | | 14.00
| sky | 14.9 | 14.8 | 15.0
| S/N | 7.7 | 14.0 | 14.5
| S/N(c) | 7.0 | 9.4 | 3.9
| SN(E/C) | 0.94
|
|
|
|
|
|
|
13940029
| 42
| | Red | Green | Blue
| z | | 18.26
| znorm | | 14.20
| sky | 14.7 | 15.0 | 15.1
| S/N | 8.7 | 15.8 | 16.7
| S/N(c) | 7.8 | 10.6 | 4.4
| SN(E/C) | 0.91
|
|
|
|
|
|
|
13940030
| 42
| | Red | Green | Blue
| z | | 18.84
| znorm | | 14.78
| sky | 14.8 | 14.7 | 14.9
| S/N | 14.1 | 22.4 | 24.1
| S/N(c) | 11.2 | 13.8 | 5.9
| SN(E/C) | 0.82
|
|
|
|
|
|
|
13940031
| 42
| | Red | Green | Blue
| z | | 18.78
| znorm | | 14.72
| sky | 14.9 | 14.8 | 14.8
| S/N | 13.2 | 21.8 | 23.2
| S/N(c) | 10.9 | 13.4 | 5.8
| SN(E/C) | 0.90
|
|
|
|
|
|
|
13940032
| 42
| | Red | Green | Blue
| z | | 18.38
| znorm | | 14.32
| sky | 14.9 | 14.9 | 15.1
| S/N | 9.9 | 17.6 | 19.0
| S/N(c) | 8.7 | 11.5 | 4.7
| SN(E/C) | 0.91
|
|
|
|
|
|
|
13940033
| 42
| | Red | Green | Blue
| z | | 18.40
| znorm | | 14.34
| sky | 14.8 | 14.8 | 15.0
| S/N | 10.2 | 17.7 | 19.1
| S/N(c) | 8.7 | 11.6 | 4.8
| SN(E/C) | 0.92
|
|
|
|
|
|
|
13940034
| 42
| | Red | Green | Blue
| z | | 18.34
| znorm | | 14.29
| sky | 14.8 | 14.9 | 15.1
| S/N | 9.1 | 16.4 | 17.0
| S/N(c) | 8.1 | 10.8 | 4.5
| SN(E/C) | 0.91
|
|
|
|
|
|
|
13940036
| 42
| | Red | Green | Blue
| z | | 18.76
| znorm | | 14.70
| sky | 14.8 | 14.9 | 14.9
| S/N | 13.2 | 22.0 | 23.2
| S/N(c) | 10.5 | 13.5 | 5.6
| SN(E/C) | 0.86
|
|
|
|
|
|
|
13940037
| 42
| | Red | Green | Blue
| z | | 18.76
| znorm | | 14.70
| sky | 14.8 | 14.9 | 14.9
| S/N | 13.0 | 21.8 | 23.0
| S/N(c) | 10.5 | 13.5 | 5.6
| SN(E/C) | 0.86
|
|
|
|
|
|
|
13940038
| 42
| | Red | Green | Blue
| z | | 18.48
| znorm | | 14.42
| sky | 14.8 | 15.0 | 14.8
| S/N | 10.6 | 18.6 | 19.3
| S/N(c) | 9.3 | 12.1 | 5.0
| SN(E/C) | 0.86
|
|
|
|
|
|
|
13940039
| 42
| | Red | Green | Blue
| z | | 18.53
| znorm | | 14.47
| sky | 15.0 | 14.7 | 14.8
| S/N | 11.4 | 19.4 | 20.4
| S/N(c) | 9.5 | 12.6 | 5.3
| SN(E/C) | 0.88
|
|
|
|
|
|
|