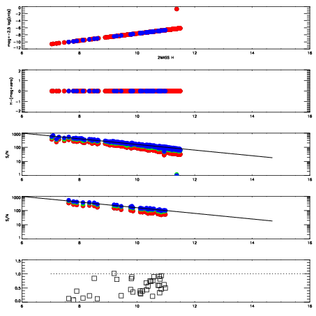
Left plots: red are targets, blue are telluric. Observed mags are calculated from median value of green chip. Zeropoint gives overall throughput: bigger number is more throughput.
First spatial plots: circles are objects, squares are tellurics, crosses are sky fibers. Colors give deviation of observed mag from expected 2MASS mag using the median zeropoint; red is brighter
Second spatial plots: circles are sky fibers. Colors give sky line brightness relative to plate median sky line brightness
FrameNreadsZeropointsMag plots Spatial mag deviation Spatial sky 16325A emission deviations (filled: sky, open: star) Spatial sky continuum emission Spatial sky telluric CO2 absorption deviations (filled: H < 10)
0 0
RedGreenBlue
z17.64
znorm Inf
sky -NaN -Inf -NaN
S/N 26.0 46.1 51.4
S/N(c) 0.0 0.0 0.0
SN(E/C) 0.50

IPAIRNAMESHIFTNEWSHIFTS/N NAMESHIFTNEWSHIFTS/N
0 13980039 0.00646017 0.00000 18.2208 13980038 -0.492302 0.498762 18.2649
1 13980028 0.00305543 0.00340474 18.7020 13980034 -0.492410 0.498870 18.6880
2 13980032 0.00440596 0.00205421 18.3015 13980029 -0.493631 0.500091 18.6517
3 13980036 0.00624780 0.000212370 18.3003 13980037 -0.492801 0.499261 18.4353
4 13980035 0.00508385 0.00137632 18.2603 13980033 -0.492229 0.498689 18.2920
5 13980031 0.00350445 0.00295572 18.1846 13980030 -0.493456 0.499916 18.2229
6 13980024 0.00000 0.00646017 18.1306 13980026 -0.496775 0.503235 18.0518
7 13980027 0.00301033 0.00344984 18.0705 13980025 -0.496813 0.503273 17.9179