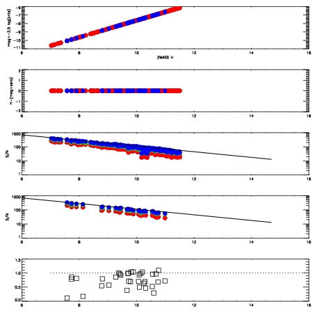
Left plots: red are targets, blue are telluric. Observed mags are calculated from median value of green chip. Zeropoint gives overall throughput: bigger number is more throughput.
First spatial plots: circles are objects, squares are tellurics, crosses are sky fibers. Colors give deviation of observed mag from expected 2MASS mag using the median zeropoint; red is brighter
Second spatial plots: circles are sky fibers. Colors give sky line brightness relative to plate median sky line brightness
FrameNreadsZeropointsMag plots Spatial mag deviation Spatial sky 16325A emission deviations (filled: sky, open: star) Spatial sky continuum emission Spatial sky telluric CO2 absorption deviations (filled: H < 10)
0 0
RedGreenBlue
z17.64
znorm Inf
sky -Inf -Inf -NaN
S/N 14.7 27.3 29.8
S/N(c) 0.0 0.0 0.0
SN(E/C) 0.79

IPAIRNAMESHIFTNEWSHIFTS/N NAMESHIFTNEWSHIFTS/N
0 14600085 0.494183 0.00000 17.9795 14600086 -0.00201941 0.496202 17.9494
1 14600080 0.494141 4.19915e-05 18.2031 14600079 0.00000 0.494183 18.1846
2 14600084 0.493995 0.000187993 18.0279 14600083 -0.00196064 0.496144 18.1233
3 14600081 0.493903 0.000279993 17.7128 14600082 -0.00139007 0.495573 17.5052