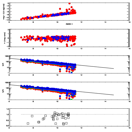
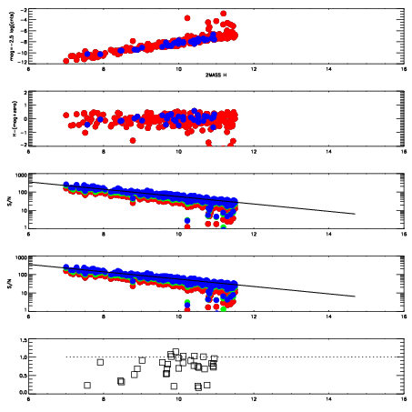
Left plots: red are targets, blue are telluric. Observed mags are calculated from median value of green chip. Zeropoint gives overall throughput: bigger number is more throughput.
First spatial plots: circles are objects, squares are tellurics, crosses are sky fibers. Colors give deviation of observed mag from expected 2MASS mag using the median zeropoint; red is brighter
Second spatial plots: circles are sky fibers. Colors give sky line brightness relative to plate median sky line brightness
FrameNreadsZeropointsMag plots Spatial mag deviation Spatial sky 16325A emission deviations (filled: sky, open: star) Spatial sky continuum emission Spatial sky telluric CO2 absorption deviations (filled: H < 10)
17700043 42
RedGreenBlue
z18.22
znorm14.17
sky 14.8 14.5 14.6
S/N 9.2 15.6 18.7
S/N(c) 11.0 15.8 6.5
SN(E/C) 0.75
17700044 42
RedGreenBlue
z18.12
znorm14.07
sky 15.1 14.8 14.8
S/N 9.8 16.7 18.2
S/N(c) 10.3 15.1 6.1
SN(E/C) 0.81